• Предмет: Химия
  • Автор: МихаилКир
  • Вопрос задан 8 лет назад

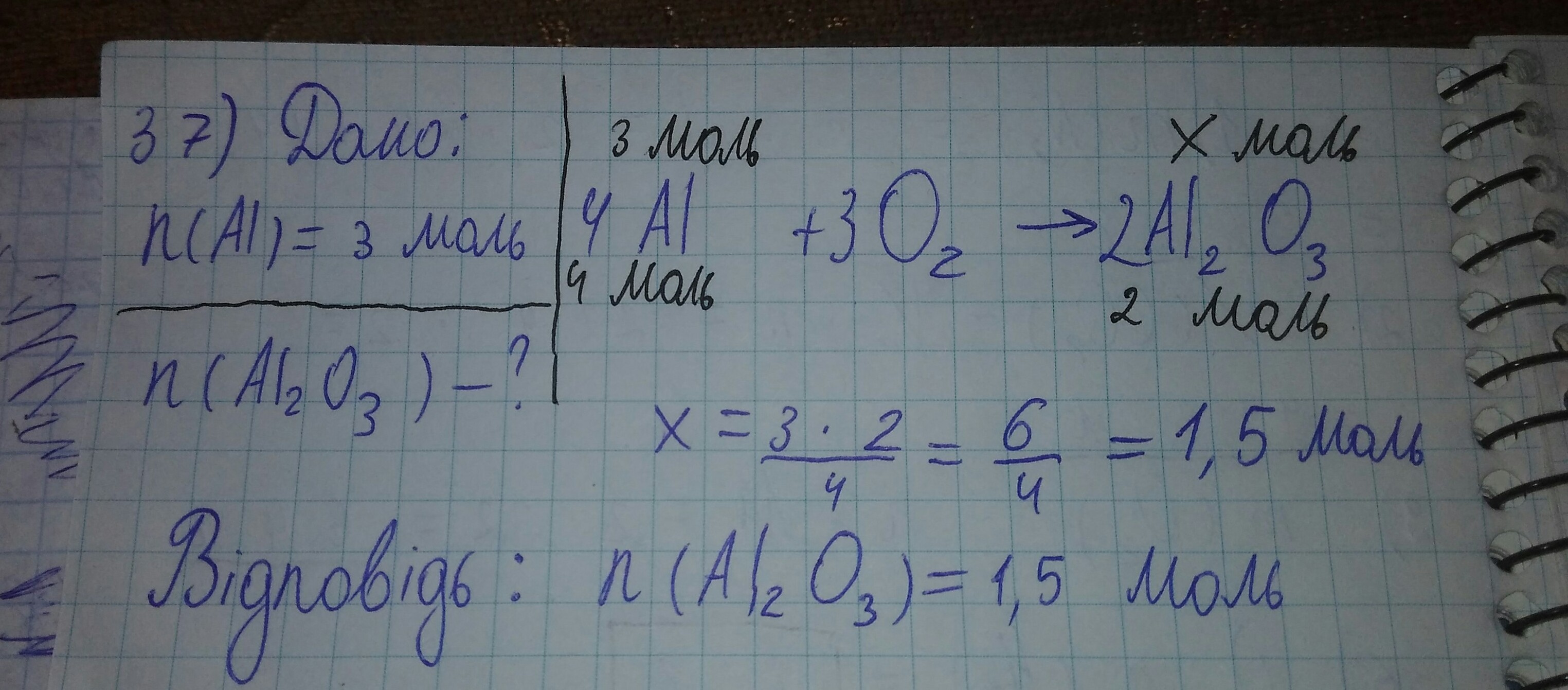
Сколько молей оксида алюминия образовалось, если вступило в реакцию горения 3 моль алюминия? напишите уравнения необходимых реакций. проведите необходимые расчёты.

Решите пожалуйста. Заранее спасибо (^_-)

Ответы

Ответ дал: RASSPUTIN
0
Решение во вложении...
Приложения:
Ответ дал: mrvladimir2
0

Дано:

n(Al) = 3 моль

Найти:

n(Al₂O₃)-?


Решение.

4Al + 3O₂ = 2Al₂O₃

Из УХР следует, что n(Al₂O₃)=²/₄n(Al) = 0,5n(A)

n(Al₂O₃) = 3 моль*0,5 = 1,5 моль

Ответ: 1,5 моль

Приложения:
Вас заинтересует