• Предмет: Геометрия
  • Автор: katyahakman19
  • Вопрос задан 8 лет назад

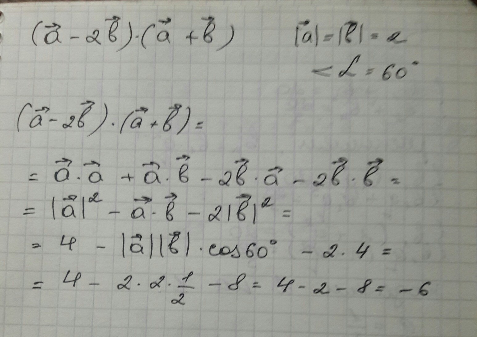
обчисліть скалярний добуток (а-2b)(a+b), якщо ІаІ=ІbІ=2, ∠(ab)=60°?

Ответы

Ответ дал: crdd
0
Решение во вложении.
Приложения:
Вас заинтересует