• Предмет: Алгебра
  • Автор: ser2823432
  • Вопрос задан 8 лет назад

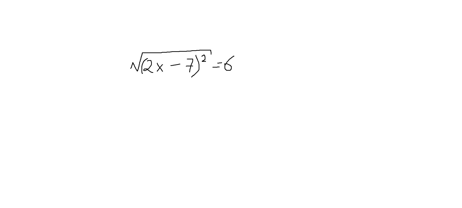
НАЙТИ СУММУ КОРНЕЙ УРАВНЕНИЯ!!!!

Приложения:

Ответы

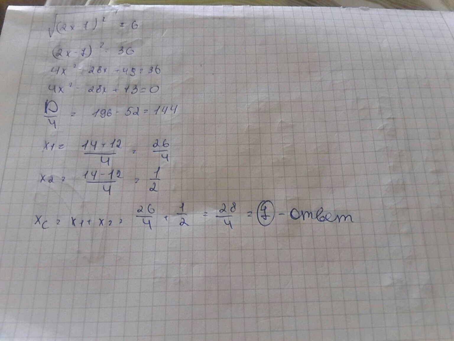
Ответ дал: EGEGBE
0

---------------------------------------------------------------------------

Приложения:
Ответ дал: yugolovin
0
Самый нерациональный способ
Ответ дал: EGEGBE
0
Этот способ для овощей, которые не могут решить элементарный номер
Ответ дал: snow99
0

 |2x - 7|  = 6 \ 2x - 7 = 6 \ 2x - 7 =  - 6
2x = 13
2x = 1

x1 = 13/2
x2 = 1/2

x1+x2 = 13/2 + 1/2 = 14/2 = 7.
Приложения:
Вас заинтересует