• Предмет: Алгебра
  • Автор: лалла97
  • Вопрос задан 8 лет назад

решить способом подстановки

Приложения:

Ответы

Ответ дал: podvalnyimetall
0

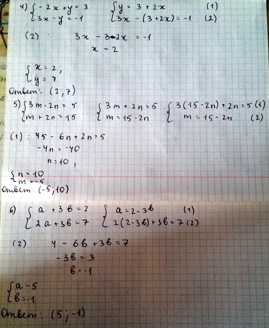
См. прикрепленное изображение. Спрашивай, если что непонятно.

Приложения:
Ответ дал: математик2011
0
во втором ошибочка
Ответ дал: podvalnyimetall
0
а где именно? спасибо,что сказали
Ответ дал: математик2011
0
в условии во второй системе: 3m+2n, а в условии 3m-2n
Ответ дал: математик2011
0

1)

у = 3+2х у = 3+2х у = 3+2х у = 3+2х у = 3+2х у = 3+2х

3х-у = -1 3х - (3+2х) = -1 3х - 3 - 2х = -1 х - 3 = -1 х = -1+3 х = 2


х = 2 х = 2

у = 3+2*2 у = 7

2)

3m - 2n = 5 3(15 - 2n) - 2n = 5 45 - 6n - 2n = 5 45 - 8n = 5 8n = 45-5

m = 15 - 2n m = 15 - 2n m = 15 - 2n m = 15 - 2n m = 15-2n


8n = 40 m = 5 m = 5

m = 15-2n n = 15-2*5 n = 5

3)

a = 2-3b a = 2-3b a=2-3b a=2-3b a=2-3b a = 2-3b a=2-3b

2a+3b=7 2*(2-3b)+3b=7 4-6b+3b=7 4-3b=7 3b =4-7 3b= -3 b= -1


a=2-3*(-1) a=5

b= -1 b= -1

Приложения:
Вас заинтересует