Ответы
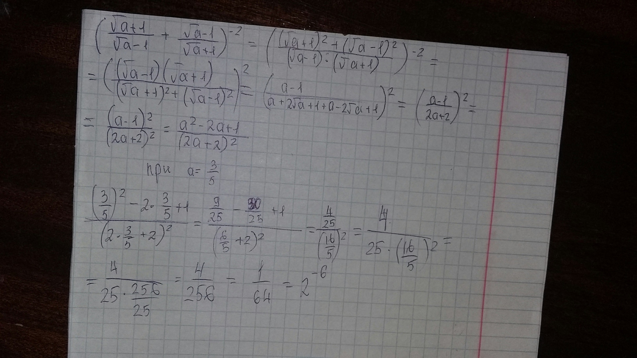
Решение на фотографии
_____________________

Сначала выражение нужно упростить. Будем делать это по частям: сначала приведем к общему знаменателю и упростим выражение внутри скобок, потом возведем в степень.
1) Упрощение выражения внутри скобок: приводим к одному знаменателю, для этого умножаем и числитель, и знаменатель первой дроби на (√a + 1), второй – на (√a - 1), благодаря чему можем записать данные дроби под общей дробной чертой. Раскрываем числитель по формуле сокращенного умножения (a + b)² = a² + 2ab + b², (a - b)² = a² - 2ab + b², знаменатель по такой: a² - b² = (a - b)(a + b).
2) Возводим полученное в (-2) степень: возведение в отрицательную значит переворот дроби (числитель становится знаменателем и наоборот), вторая – квадрат:
Ответ:
