Ответы
Ответ дал:
0
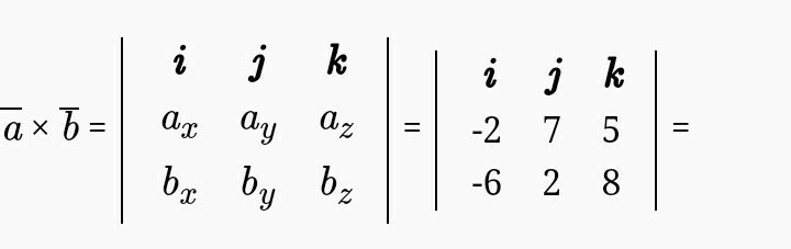
Площадь параллелограмма, построенного на векторах, равна модулю их векторного произведения:
(продолжение картинки) = i*(7*8-2*5) - j*(-2*8-5*(-6)) + k*(-2*2 - 7*(-6)) = 46i - 14j + 38k = (46,-14,38)
S = |a×b| = sqrt (46^2 + (-14)^2 + 38^2) = sqrt(3756) = 2sqrt(939)
(продолжение картинки) = i*(7*8-2*5) - j*(-2*8-5*(-6)) + k*(-2*2 - 7*(-6)) = 46i - 14j + 38k = (46,-14,38)
S = |a×b| = sqrt (46^2 + (-14)^2 + 38^2) = sqrt(3756) = 2sqrt(939)
Приложения:

Вас заинтересует
2 года назад
2 года назад
3 года назад
3 года назад
9 лет назад
9 лет назад