Ответы
Ответ дал:
0
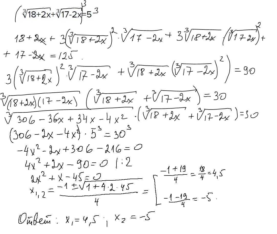
если условие правильно переписано, то вроде так решается
Приложения:

Ответ дал:
0
спасибо за ответ
Вас заинтересует
2 года назад
3 года назад
3 года назад
9 лет назад
9 лет назад