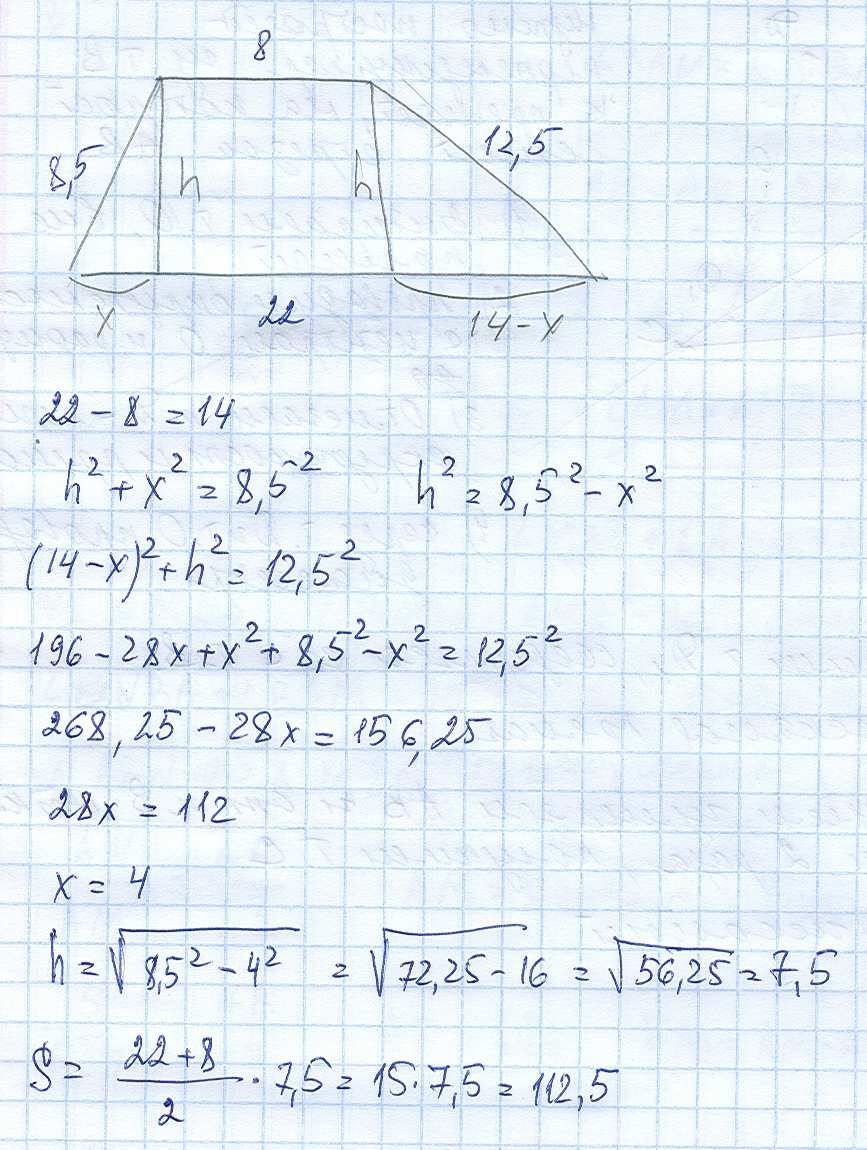
Обчислити площу трапеції,якщо паралельні сторони дорівнюють 8см і 22см,а не паралельні 8.5 см і 12.5см
Ответы
Ответ дал:
0
Дано: ABCD - трапеция, ВС = 8 см, AD = 22 см, АВ = 8,5 см, CD = 12,5 см
Найти: Sabcd
____________________________
Решение:
1) Проведем ВЕ параллельно СD, тогда
BE = CD = 12,5 см, BC = ED = 8 см, AE = 22 - 8 = 14 см
2) Рассмотрим ∆ АВЕ:
По формуле Герона:

Проведем в трапеции высоту BH :
Sabe = 1/2 × AE × BH
105/2 × √159 = 1/2 × 14 × BH
BH = 105√159/14 = 15√159/2
4) Sabcd = 1/2 × ( BC + AD ) × BH = 1/2 × ( 8 + 22 ) × 15√159/2 = 225√159/2
Ответ: 225√159/2
Найти: Sabcd
____________________________
Решение:
1) Проведем ВЕ параллельно СD, тогда
BE = CD = 12,5 см, BC = ED = 8 см, AE = 22 - 8 = 14 см
2) Рассмотрим ∆ АВЕ:
По формуле Герона:
Проведем в трапеции высоту BH :
Sabe = 1/2 × AE × BH
105/2 × √159 = 1/2 × 14 × BH
BH = 105√159/14 = 15√159/2
4) Sabcd = 1/2 × ( BC + AD ) × BH = 1/2 × ( 8 + 22 ) × 15√159/2 = 225√159/2
Ответ: 225√159/2
Приложения:
Ответ дал:
0
ещё одно решение
--------------------------------
Приложения:
Вас заинтересует
2 года назад
2 года назад
3 года назад
3 года назад
9 лет назад