Здравствуйте! Подскажите как составить уравнение к графику функции. Сначала найти производную, а потом что (задание А14)?
2 задание чисто найти производную (задание А15)?
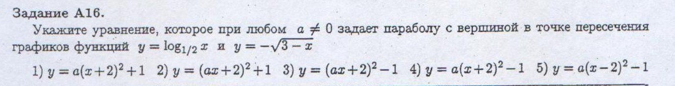
Подскажите алгоритм для решения А16 задания?
Как решить задание А17?
Приложения:
Ответы
Ответ дал:
0
[А14] Уравнение касательной к графику функции: y=f(a) + f'(a)(x-a), где а - абсциссв точки касания. Нам дано y= -3 и х=0, а так же функция. Найдем производную этой функции: f'(x)=2x-4. Тогда f'(a) = 2a-4, и f(a)=a^2-4a+6. Подставим все известное в уравнение касательной и найдем a:
-3=a^2-4a+6+(2a-4)(0-a)
a^2-4a+9-2a^2+4a = 0
a^2=9, тогда a = 3; -3 , но -3 не подходит по условию, тогда a=3;
f'(a)=f'(3)=6-4=2;
f(a)=f(3)=9-12+6=3;
Подставив выше найденные значения функций в точках касания, найдем общее уравнение касательной:
y=f(a)+f'(a)(x-a)=3+2(x-3)=2x-3; Ответ 3)
[А15] Количество точек экстремума - это количество нулей производной, то есть находишь производную заданной функции, приравниваешь ее к нулю и находишь количество решений.
[А16] Для начала найдем точку пересечения логарифмичной и степенной функции:
log0,5(x)=-sqrt(3-x)
Заметим, что логарифмичная функция монотонно возрастает, а радикальная - убывает, следовательно эти две функции имеют только одну точку пересечения. Подбором найдем решение: x=2 (проверить самому можно). Ордината данной точки равна log0,5(2), то есть (-1);
Раз абсцисса вершины параболы - 2, то
(-b)/2a=2
Данное соотношение свойственно только ответу 5) :
y=ax^2-4ax+4-1=ax^2-4ax+3;
(-b)/2a=4а/2а=2;
Можно даже дополнительную проверку на ординату вершины параболы сделать.
Ответ: 5)
[А17] Наглядно изобразил и расписал все на фотографии, но все же добавлю пару слов и здесь. Прямая, все точки которой равноудалены от двух заданных точек, является серединным перпендикуляром прямой, проведенной через эти две заданные точки. То есть искомая прямая должна пересекать прямую AB через середину отрезка AB и так же быть перпендикулярной прямой AB (см. рисунок). Координаты середины отрезка AB можно найти через полусуммы соответствующих координат (на фото это сразу под графиком). В декартовой системе координат две прямые перпендикулярны только когда произведение коэффициентов наклона обеих прямых дает минус единицу. Через тангенс наклона прямой AB найдем коэффициент наклона прямой AB и через выше упомянутое произведение выведем коэффициент наклона искомой прямой: k=1; Для составления уравнения искомой прямой нам не хватает значения параметра b, который отвечает за сдвиг прямой вверх-вниз. Но зная, что искомая прямая проходит через точку С (1;1) из уравнения прямой заметим, что b=0, поскольку:
y=kx + b
1=1*1 + b
1=1 + b
b=0
И теперь мы можем составить уравнение искомой прямой: y=x. Ответ: 3)
-3=a^2-4a+6+(2a-4)(0-a)
a^2-4a+9-2a^2+4a = 0
a^2=9, тогда a = 3; -3 , но -3 не подходит по условию, тогда a=3;
f'(a)=f'(3)=6-4=2;
f(a)=f(3)=9-12+6=3;
Подставив выше найденные значения функций в точках касания, найдем общее уравнение касательной:
y=f(a)+f'(a)(x-a)=3+2(x-3)=2x-3; Ответ 3)
[А15] Количество точек экстремума - это количество нулей производной, то есть находишь производную заданной функции, приравниваешь ее к нулю и находишь количество решений.
[А16] Для начала найдем точку пересечения логарифмичной и степенной функции:
log0,5(x)=-sqrt(3-x)
Заметим, что логарифмичная функция монотонно возрастает, а радикальная - убывает, следовательно эти две функции имеют только одну точку пересечения. Подбором найдем решение: x=2 (проверить самому можно). Ордината данной точки равна log0,5(2), то есть (-1);
Раз абсцисса вершины параболы - 2, то
(-b)/2a=2
Данное соотношение свойственно только ответу 5) :
y=ax^2-4ax+4-1=ax^2-4ax+3;
(-b)/2a=4а/2а=2;
Можно даже дополнительную проверку на ординату вершины параболы сделать.
Ответ: 5)
[А17] Наглядно изобразил и расписал все на фотографии, но все же добавлю пару слов и здесь. Прямая, все точки которой равноудалены от двух заданных точек, является серединным перпендикуляром прямой, проведенной через эти две заданные точки. То есть искомая прямая должна пересекать прямую AB через середину отрезка AB и так же быть перпендикулярной прямой AB (см. рисунок). Координаты середины отрезка AB можно найти через полусуммы соответствующих координат (на фото это сразу под графиком). В декартовой системе координат две прямые перпендикулярны только когда произведение коэффициентов наклона обеих прямых дает минус единицу. Через тангенс наклона прямой AB найдем коэффициент наклона прямой AB и через выше упомянутое произведение выведем коэффициент наклона искомой прямой: k=1; Для составления уравнения искомой прямой нам не хватает значения параметра b, который отвечает за сдвиг прямой вверх-вниз. Но зная, что искомая прямая проходит через точку С (1;1) из уравнения прямой заметим, что b=0, поскольку:
y=kx + b
1=1*1 + b
1=1 + b
b=0
И теперь мы можем составить уравнение искомой прямой: y=x. Ответ: 3)
Приложения:
Ответ дал:
0
У меня получилась производная функции (x+2)^4+(x-4)^5 5(x-4)^4+4(x+2)^3 Как мне ее приравнять к нулю и решить?
Ответ дал:
0
Производная должна выйти 4(x-4)^5 * (x+2)^3 + 5(x-4)^4 * (x+2)^4.
Ответ дал:
0
Затем выносим за скобки одинаковые скобки и находишь нули
Ответ дал:
0
Т.е сколько одинаковых скобок, столько нулей?
Ответ дал:
0
Выносишь за скобки (x-4)^4 и (x+2)^3 и у тебя получается (x-4)^4 * (x+2)^3 * (4x-16+5x+10), если преобразовать, то выйдет (x-4)^4 * (x+2)^3 * (9x-6), то есть 3 нуля: x=-2;4;2/3
Вас заинтересует
2 года назад
3 года назад
3 года назад
9 лет назад
9 лет назад
10 лет назад