• Предмет: Математика
  • Автор: katerinakosh20
  • Вопрос задан 8 лет назад

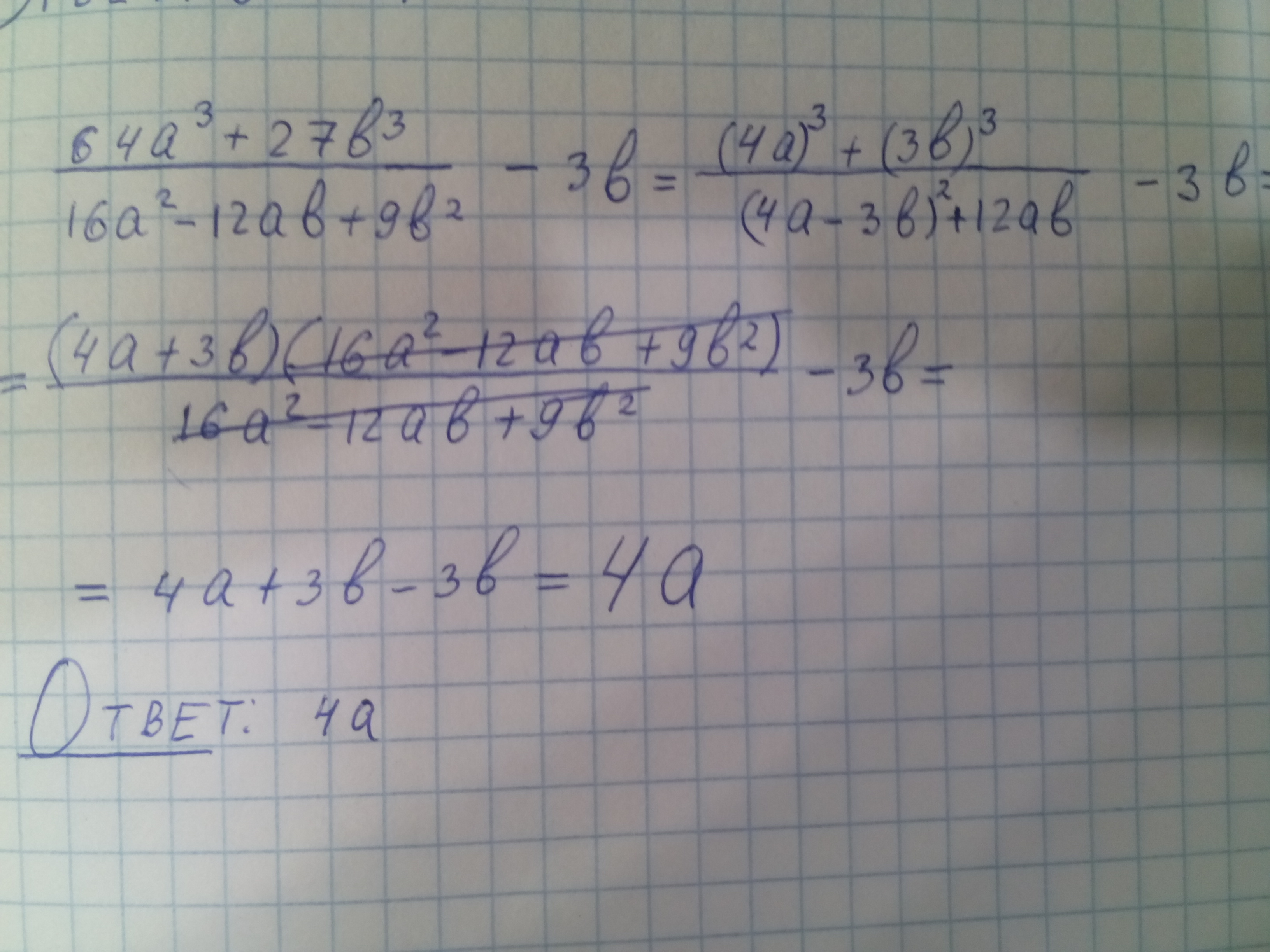
Упростить выражение:
((64a^3 + 27b^3)/(16a^2 - 12ab + 9b^2)) - 3b

Ответы

Ответ дал: GeniusEnstein
0

Решение прикрепил в виде изображения

Приложения:
Вас заинтересует