• Предмет: Алгебра
  • Автор: YunoGasa1
  • Вопрос задан 8 лет назад

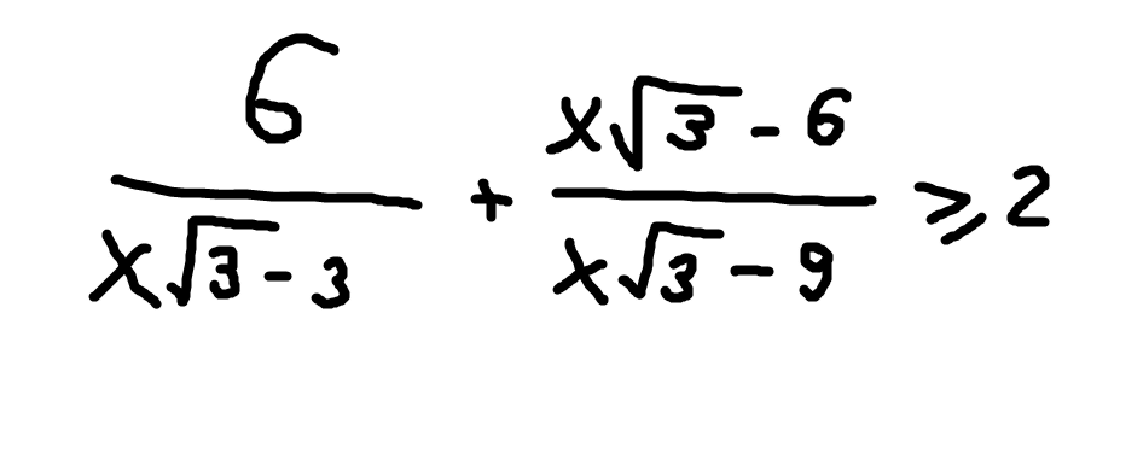
Пожалуйста решите неравенство

Приложения:

Ответы

Ответ дал: NeZeRAvix
0

Решено  checkmark


Ответ: x∈(√3; 2√3]U(3√3; 5√3]

Приложения:
Ответ дал: YunoGasa1
0
Спасибо большое!!!!!!!
Вас заинтересует