• Предмет: Алгебра
  • Автор: Viktiriaaaaaaaa
  • Вопрос задан 8 лет назад

Помогите пожалуйста

Приложения:

Ответы

Ответ дал: sangers
0

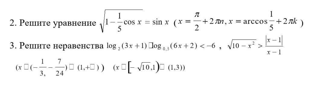
2.

(√(1-(1/5)*cosx))²=(sin(x))²

1-(cos(x)/5=sin²(x)

1-(cos(x)/5=1-cos²(x)

-cos(x)/5=-cos²(x) |×(-5)

cos(x)=5*cos²(x)

5*cos²(x)-cos(x)=0

cos(x)*(5*cos(x)-1)=0

cos(x)=0

x₁=π/2+πn

5*cos(x)=1 |÷5

cos(x)=1/5

x₂=arccos(1/5)+2πn.

Ответ: x₁=π/2+πn x₂=arccos(1/5)+2πn.






Вас заинтересует