• Предмет: Математика
  • Автор: smirnovaolgapochta
  • Вопрос задан 8 лет назад

Найдите все значения параметра a, при каждом из которых уравнение x^2-2ax+2a-1=0 имеет два различных корня одного знака

Ответы

Ответ дал: IrkaShevko
0

D = 4a² - 8a + 4 = 4(a-1)² > 0 => a ≠ 1


x₁ = (2a - (2a-2))/2 = 1


x₂ = (2a + 2a - 2)/2 = 2a - 1 > 0


a > 0,5


Ответ: (0,5; 1) U (1; +∞)

Ответ дал: Аноним
0

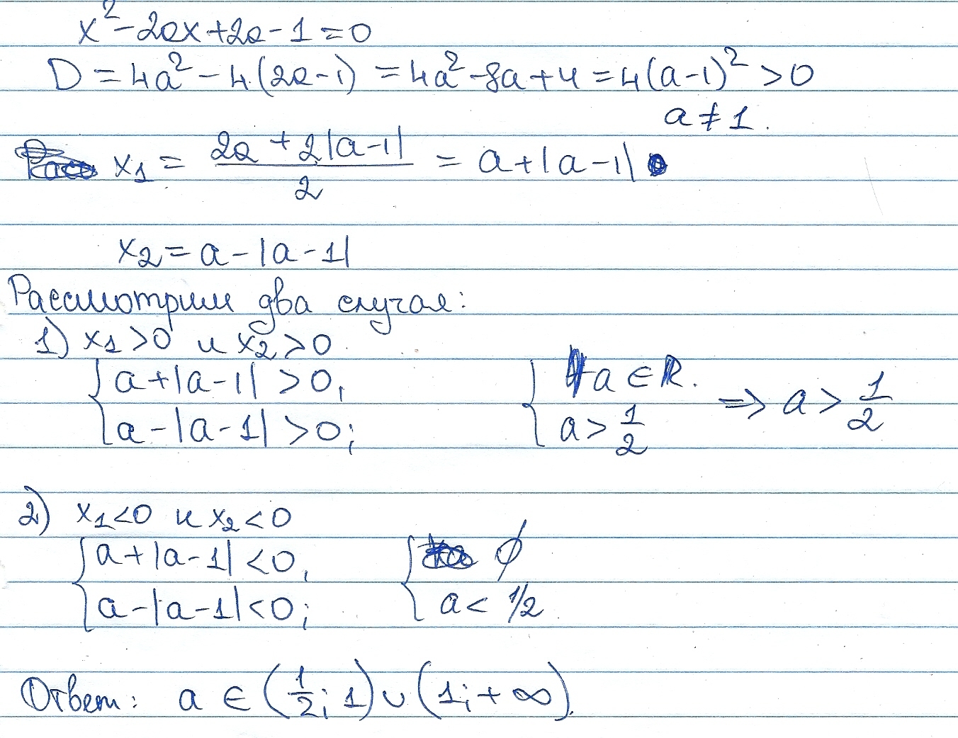
Решение смотрите на фотографии

Приложения:
Ответ дал: IrkaShevko
0
да, но D = 4(a-1)^2
Ответ дал: IrkaShevko
0
у вас все равно не верно
Ответ дал: Аноним
0
имеет одного знака - у вас совсем не то
Ответ дал: Аноним
0
Сейчас буду поправлять
Ответ дал: IrkaShevko
0
и что же у меня не так?
Вас заинтересует