• Предмет: Математика
  • Автор: kristifka
  • Вопрос задан 8 лет назад

Доказать. На школьном уровне

Приложения:

Ответы

Ответ дал: Аноним
0

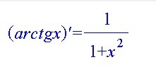
Если f(x) и g(x) - обратные, то  f(g(x))=x . Тогда имеем следующее следствие:  (f(g(x)))'=1\ f'(g(x))cdot g'(x)=1


Положим  g(x)=arctgx . Имеем


 (mathrm{tg(mathrm{arctgx})})'cdot (mathrm{arctgx})'=1\ \ dfrac{1}{cos^2(mathrm{arctgx})} cdot (mathrm{arctgx})'=1\ \ (mathrm{arctgx})'=cos^2(mathrm{arctgx})\ \ (mathrm{arctgx})'=bigg(dfrac{1}{sqrt{x^2+1}}bigg)^2\ \ (mathrm{arctgx})'=dfrac{1}{x^2+1}

Ответ дал: IrkaShevko
0

 y = arctg(x)\<br />tg(y)=x\<br />tg(arctg(x)) = x\<br />(tg(arctg(x)))' = (x)'\<br />tg(y)'=(x)'\<br />frac{y'}{cos^2y}=1\<br />y'=cos^2y=frac{1}{frac{1}{cos^2y}}=frac{1}{frac{cos^2y+sin^2y}{cos^2y}}=frac{1}{1+frac{sin^2y}{cos^2y}}=frac{1}{1+tg^2y}=frac{1}{1+x^2}


Вас заинтересует