Ответы
Ответ дал:
0
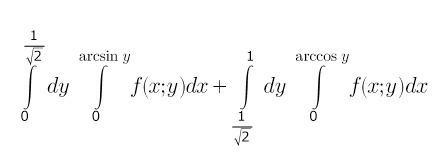
Графики нарисовал примерно. Изменить порядок интегрирования в двукратном интеграле это значит преобразовать данный интеграл так, чтобы внешний интеграл зависил от переменной x, а внутренний интеграл зависит от переменной y.
Приложения:

Вас заинтересует
2 года назад
3 года назад
3 года назад
9 лет назад
9 лет назад