• Предмет: Математика
  • Автор: artempiteran0
  • Вопрос задан 8 лет назад

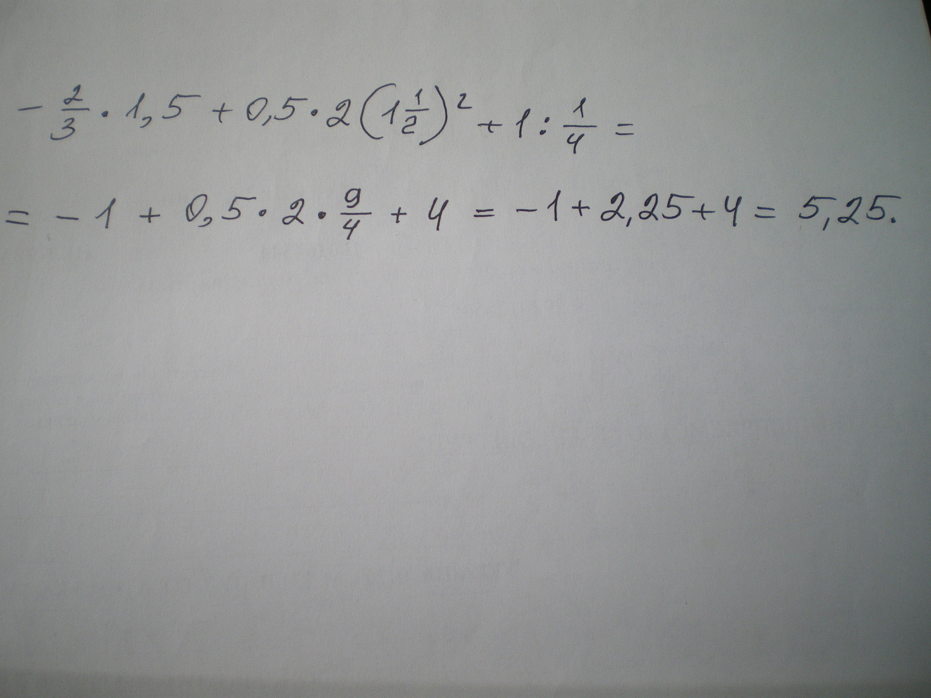
-2/3 * 1,5-0,5 + 2*(1 целая 1/2 в квадрате) + 1 : 1/4=
Помогите пж

Ответы

Ответ дал: ivanfisa
0
Решение на фото.......
Приложения:
Ответ дал: Пеппер
0

::::::::::::решение:::::::::::

Приложения:
Вас заинтересует