• Предмет: Алгебра
  • Автор: mashapoelakashu
  • Вопрос задан 8 лет назад

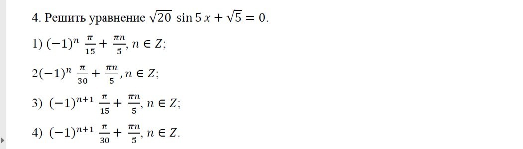
Решите уравнение и выберите правильный ответ

Приложения:

Ответы

Ответ дал: snow99
0
Решение во вложении.
Приложения:
Ответ дал: spasibo3pajbrh
0

x =  {( - 1)}^{n}  times  frac{pi}{30}  +  frac{pi times n}{5}
n - целое
Приложения:
Вас заинтересует