• Предмет: Математика
  • Автор: rustamlagiev
  • Вопрос задан 8 лет назад

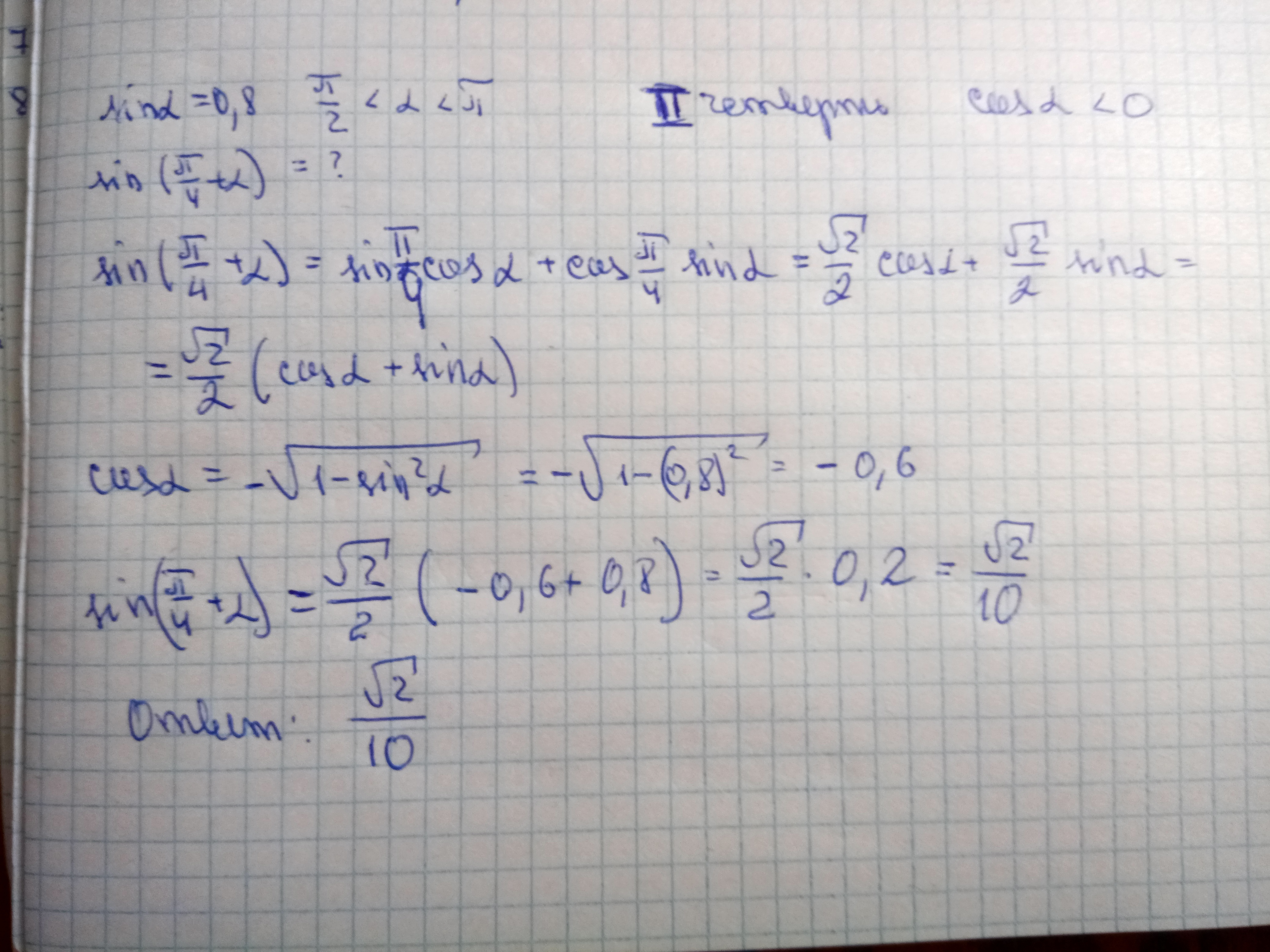
Известно, что sina =0.8, П/2 < a < П. Вычислите: sin(П/4+a)

Ответы

Ответ дал: valenivan
0

Решение задания приложено

Приложения:
Ответ дал: rustamlagiev
0
Большое спасибо!
Вас заинтересует