• Предмет: Математика
  • Автор: sanya45reg
  • Вопрос задан 8 лет назад

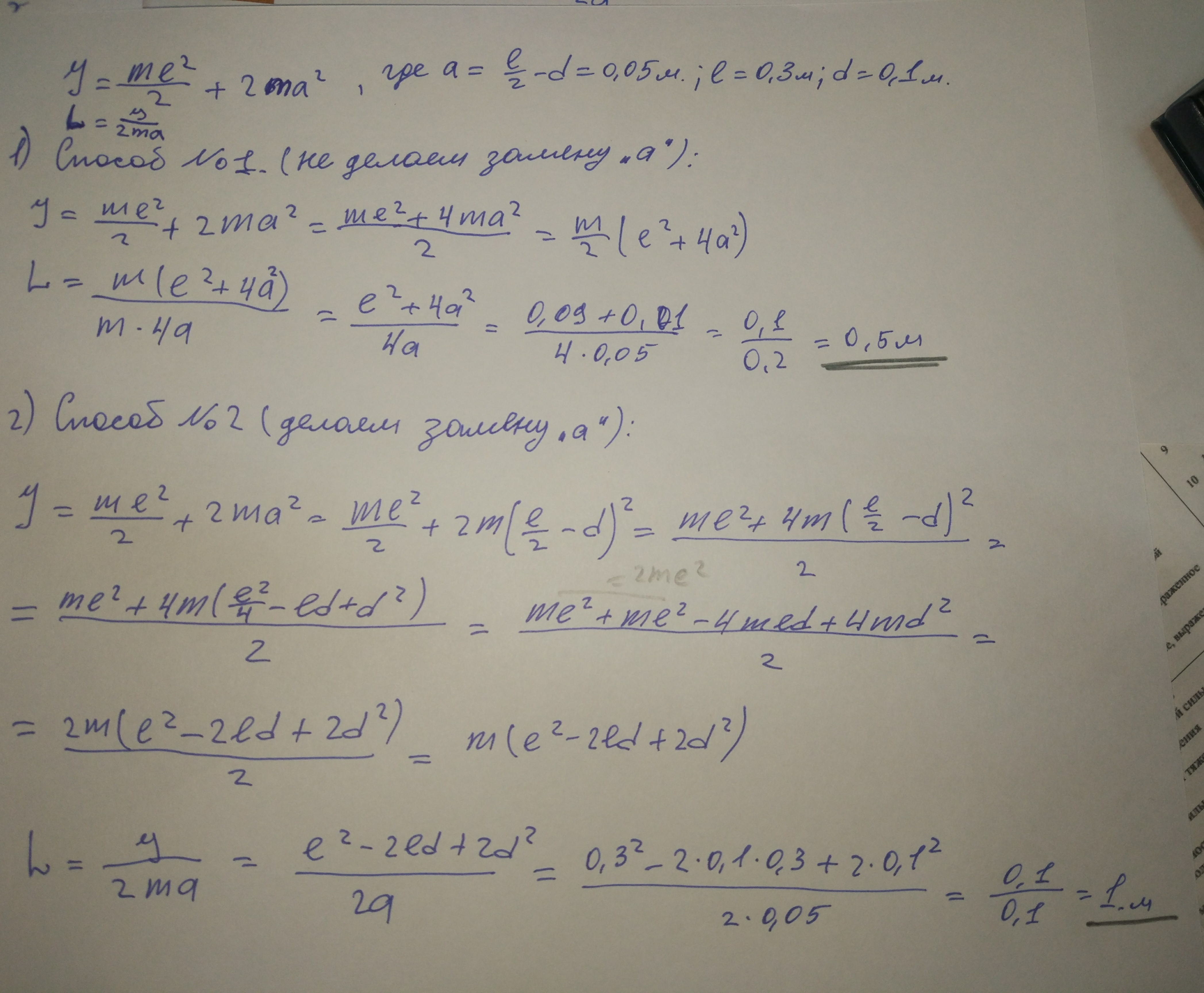
Один и тот же пример имеет два ответа (не квадратное уравнение), что не так?

Приложения:

Ответы

Ответ дал: umni4ka555
0

Вы ошиблись в последнем подсчете:

L=(0.3^2+2*0.3*0.1+2*0.1^2)/2*0.05= (0.09-0.06+0.02)/2*0.05=0.05/2*0.05=0.5 м

Вас заинтересует