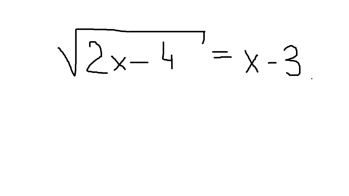
Определите к какому промежутку принадлежит сумма корней и корень (если он единственный) уравнения
Приложения:
Ответы
Ответ дал:
0
Решение во вложении.
Приложения:
Вас заинтересует
2 года назад
2 года назад
3 года назад
3 года назад
9 лет назад
9 лет назад
10 лет назад