• Предмет: Алгебра
  • Автор: kakahinroma
  • Вопрос задан 8 лет назад

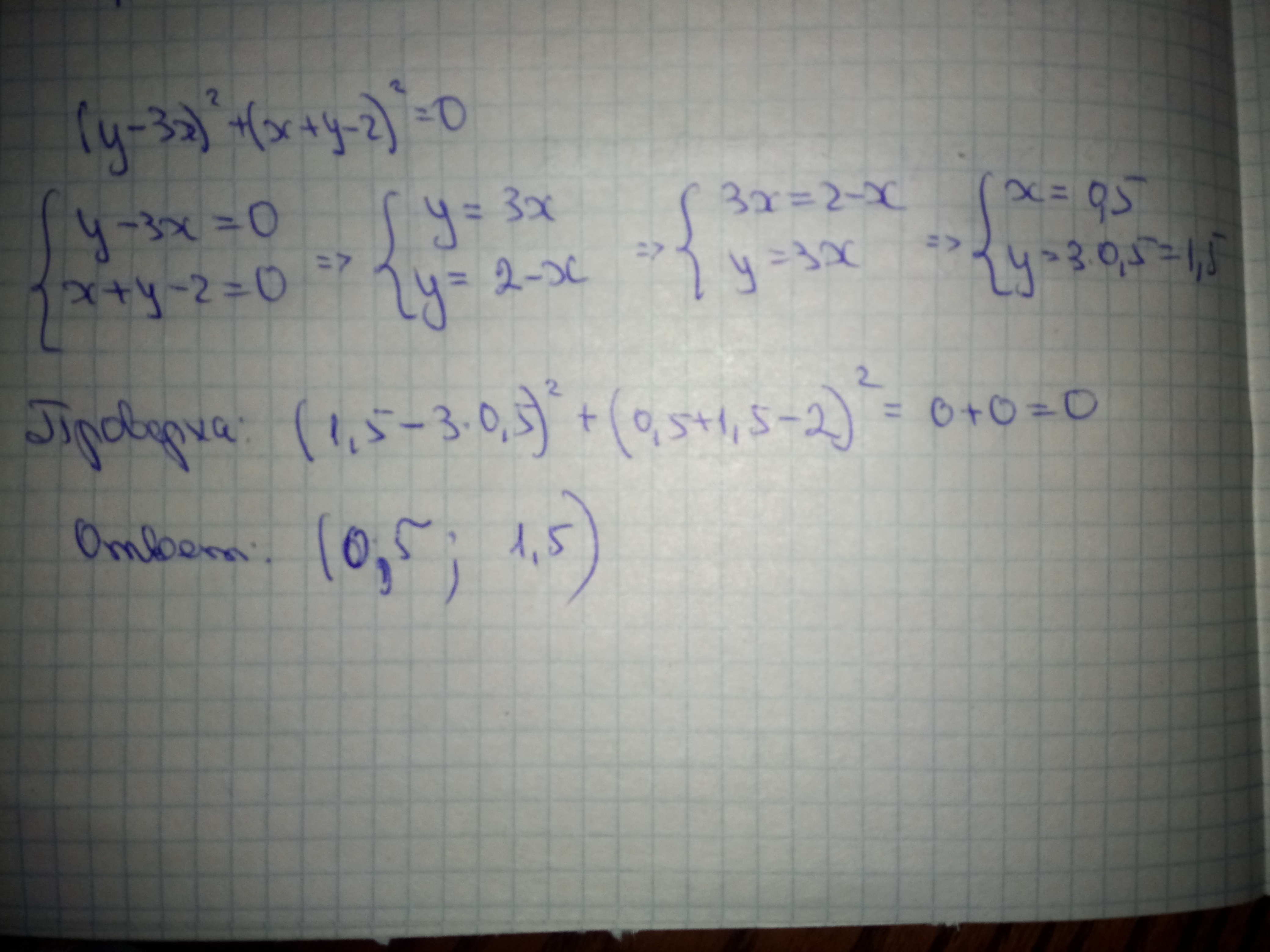
(y−3x)^2+(x+y−2)^2=0

Ответы

Ответ дал: valenivan
0

Решение задания приложено

Приложения:
Вас заинтересует