• Предмет: Математика
  • Автор: Аноним
  • Вопрос задан 8 лет назад

помогите решить уравнение при ..................................

Приложения:

Ответы

Ответ дал: Indentuum
0

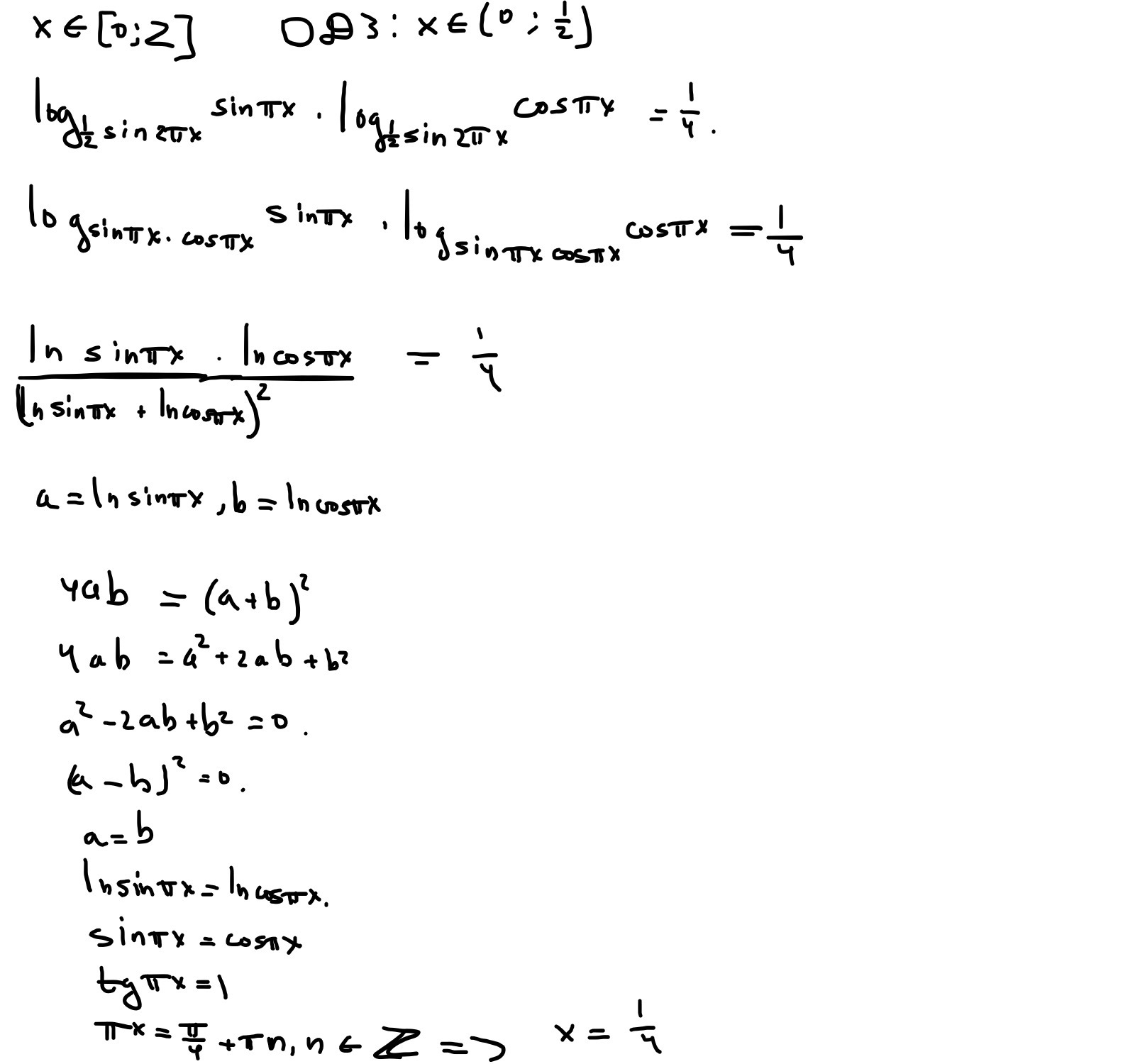
Решение в приложении ниже


Приложения:
Ответ дал: Niche
0
Решите пожалуйста https://znanija.com/task/29333414 [1]
Ответ дал: Simba2017
0
почему одз такое?
Ответ дал: Simba2017
0
так выходит x=1/4+n
Ответ дал: Simba2017
0
по одз выходит n=0, поясните почему одз до 1/2
Ответ дал: Simba2017
0
хотя не нужно, я поняла...
Вас заинтересует