• Предмет: Химия
  • Автор: elena6442
  • Вопрос задан 8 лет назад

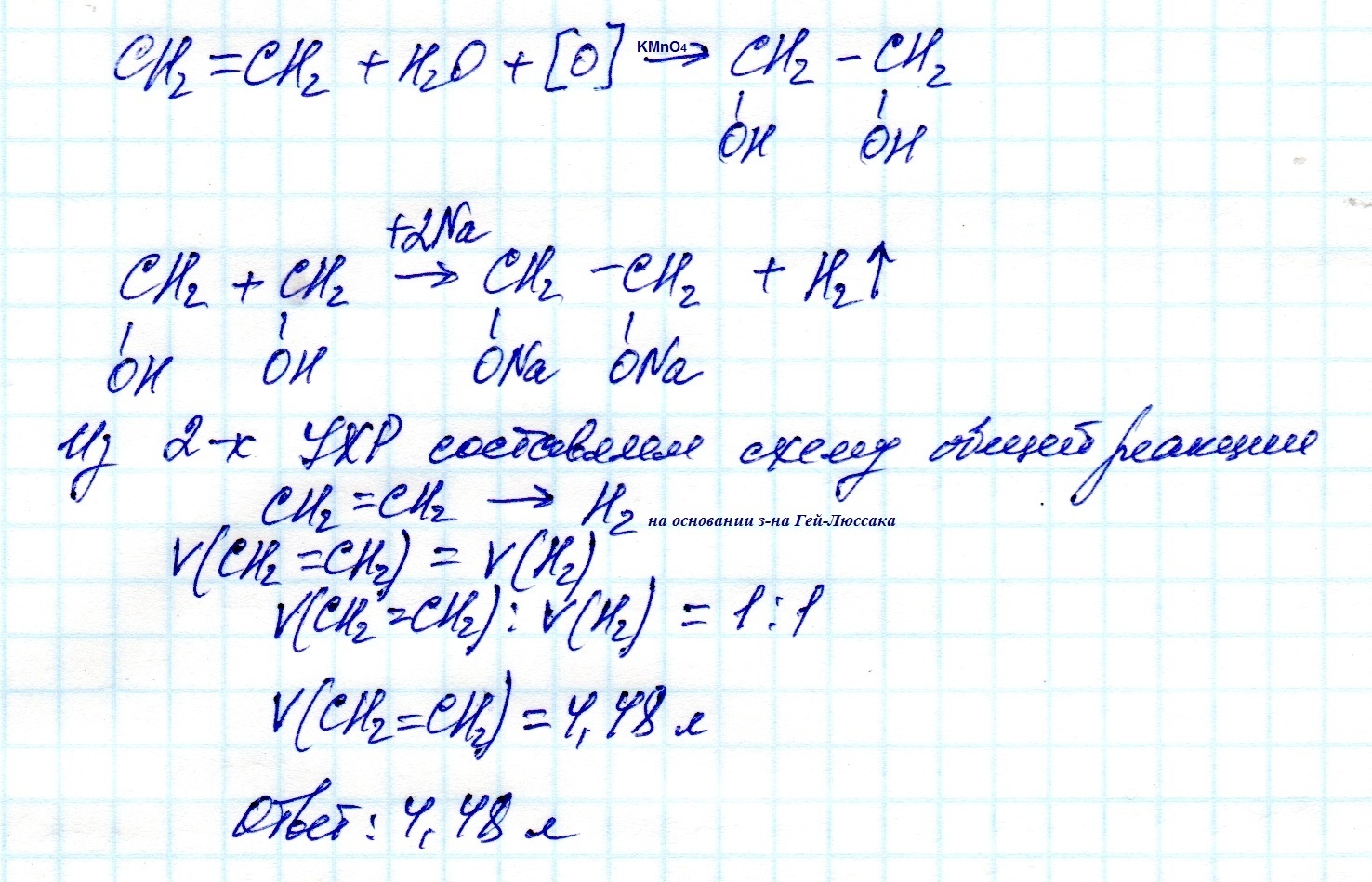
Какой объем этилена было окислено под действием калий перманганата,если конечное вещество реагирует с металлическим натрием с выделением 4,48 л водорода?

Ответы

Ответ дал: mrvladimir2
0

Дано:

V(H2)=4,48 л

Найти:

V(CH2=CH2)-?


Решение.

Приложения:
Ответ дал: elena6442
0
Спасибо вам!
Вас заинтересует