В сталелитейном цехе в 3 раза больше рабочих, чем в модельном цехе. Когда со сталелитейного цеха уволилось 5 человек, а в модельный цех приняли 35 человек, то в цехах стало поровну рабочих. Сколько рабочих было в каждом цехе?л
Ответы
Ответ дал:
0
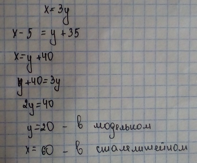
Решение на фото , удачи
Приложения:

Ответ дал:
0
пусть в молельном цехе работает х человек, тогда в сталелитейном цехе 3х.
3х-5=х+35
3х-х=35+5
2х=40
х=40/2
х=20 человек в модельном
3*20=60 человек в сталелитейном
3х-5=х+35
3х-х=35+5
2х=40
х=40/2
х=20 человек в модельном
3*20=60 человек в сталелитейном
Приложения:

Вас заинтересует
2 года назад
2 года назад
3 года назад
3 года назад
9 лет назад