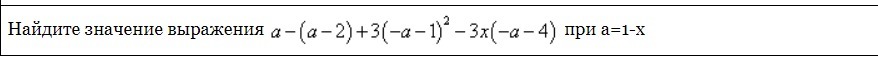
Я знаю ответ, но ни как не могу упростить так, чтобы получить его правильно (даже с тупой подстановкой) (ответ 14) мне необходимо решение, хочу понять чего не вижу, за ранее, спасибо)
Приложения:

Ответы
Ответ дал:
0
Вас заинтересует
2 года назад
2 года назад
3 года назад
9 лет назад
9 лет назад
9 лет назад