• Предмет: Алгебра
  • Автор: Qaz17Qaz
  • Вопрос задан 8 лет назад

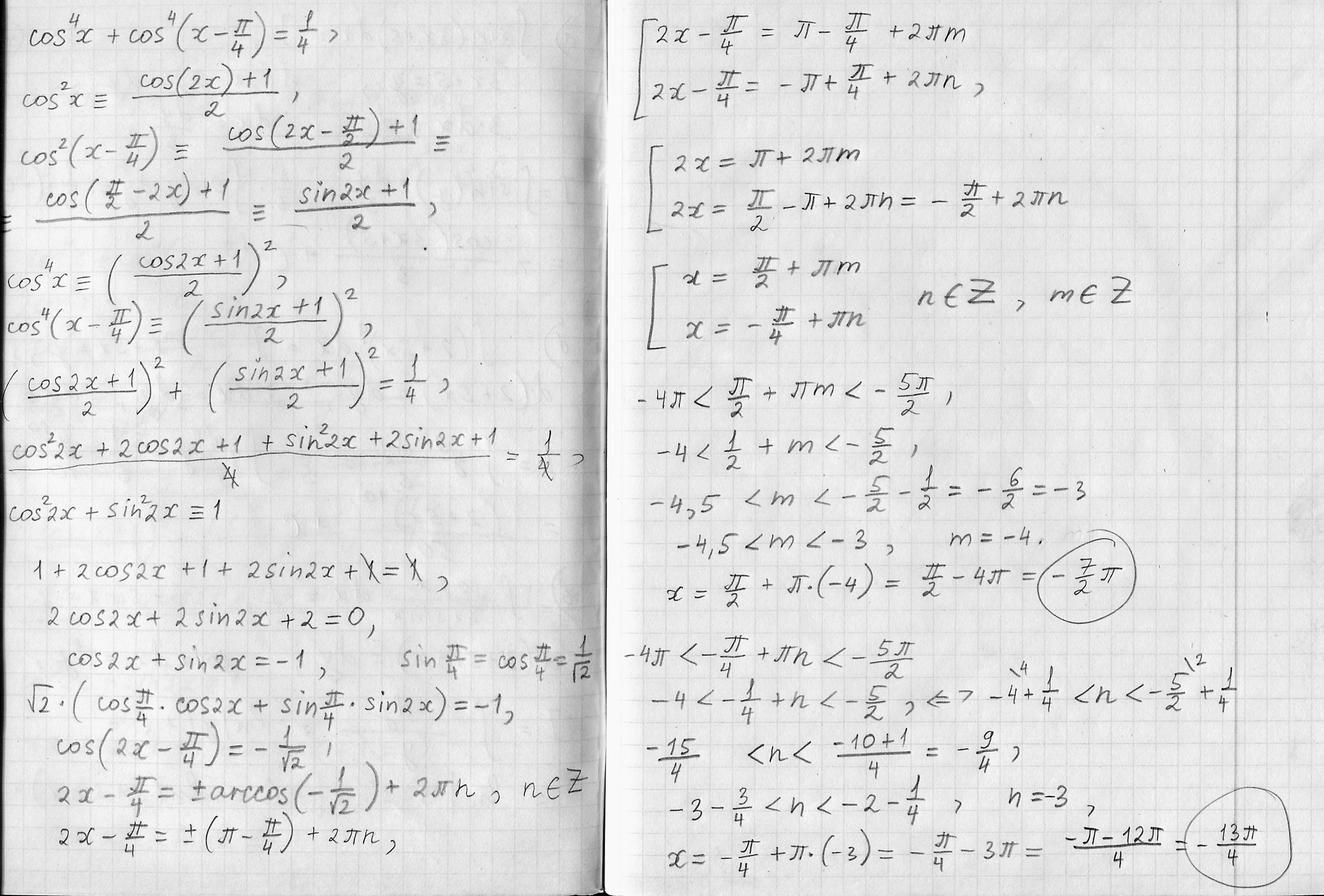
Решите уравнение
cos^4⁡x+cos^4⁡(x-π/4)=1/4
Найдите корни этого уравнения, принадлежащие промежутку ( − 4 ;− 5 /2 ]

Ответы

Ответ дал: Аноним
0

========================================>>

Приложения:
Ответ дал: Аноним
0
Я походу ошибся немного, пропустил еще один корень, входящий в указанный промежуток.
Ответ дал: Аноним
0
Кроме обведенных кружком есть еще корень -5п/2
Вас заинтересует