Ответы
Ответ дал:
0
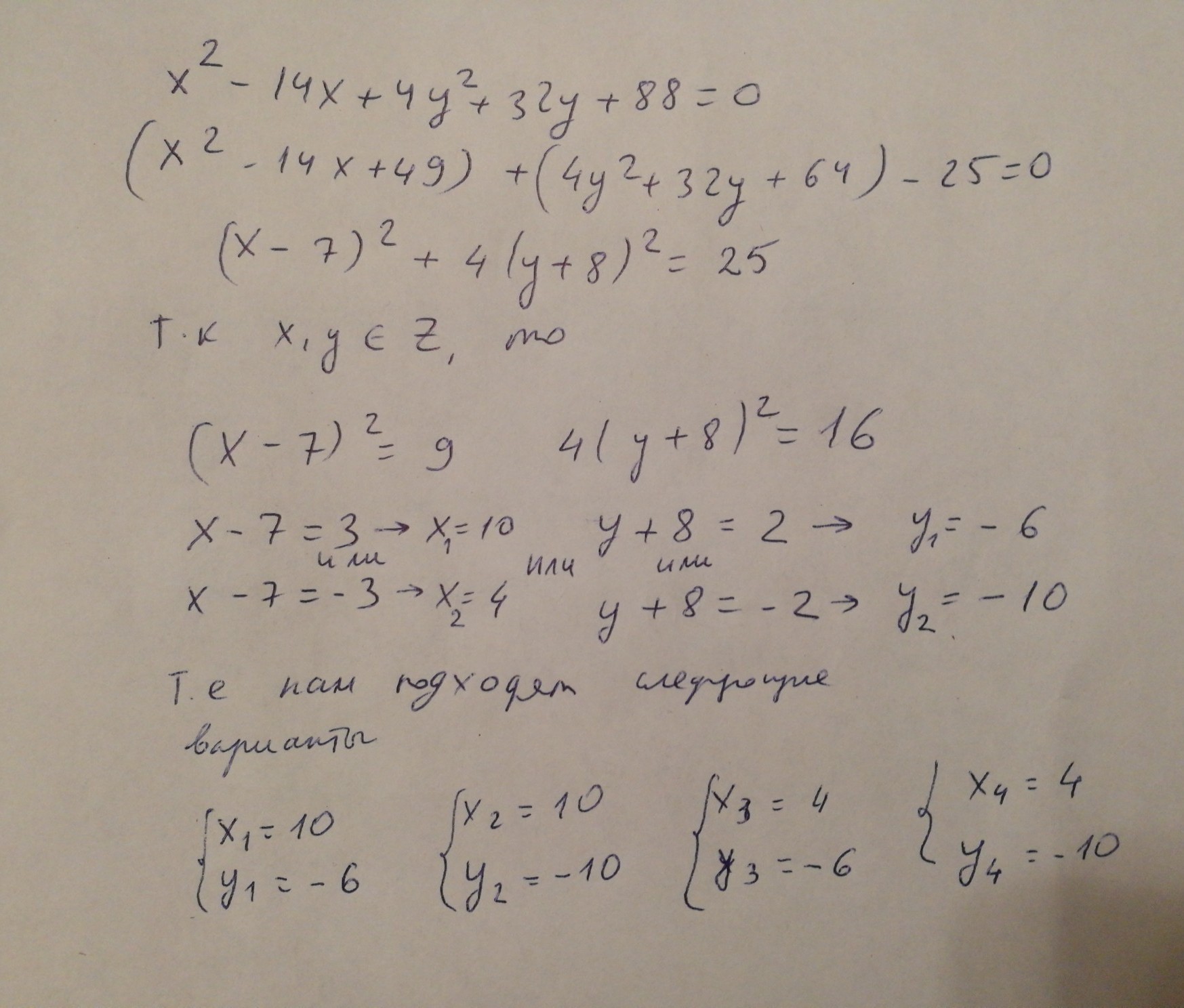
Решение и ответ представлены на фото
удачи!
удачи!
Приложения:

Вас заинтересует
2 года назад
2 года назад
9 лет назад
9 лет назад
9 лет назад