• Предмет: Математика
  • Автор: Roys2
  • Вопрос задан 8 лет назад

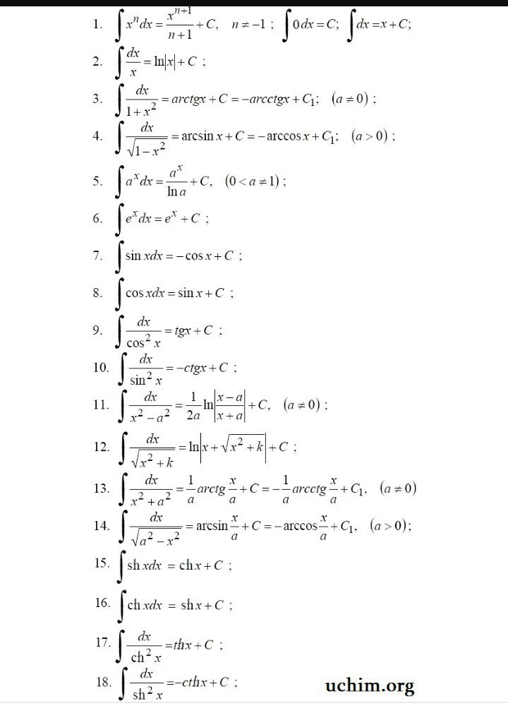
Как выглядит таблиц интегралов?

Ответы

Ответ дал: лиса4381
0
вот так щкше ррпсссрмгилпгпа
Приложения:
Вас заинтересует