Ответы
Ответ дал:
0
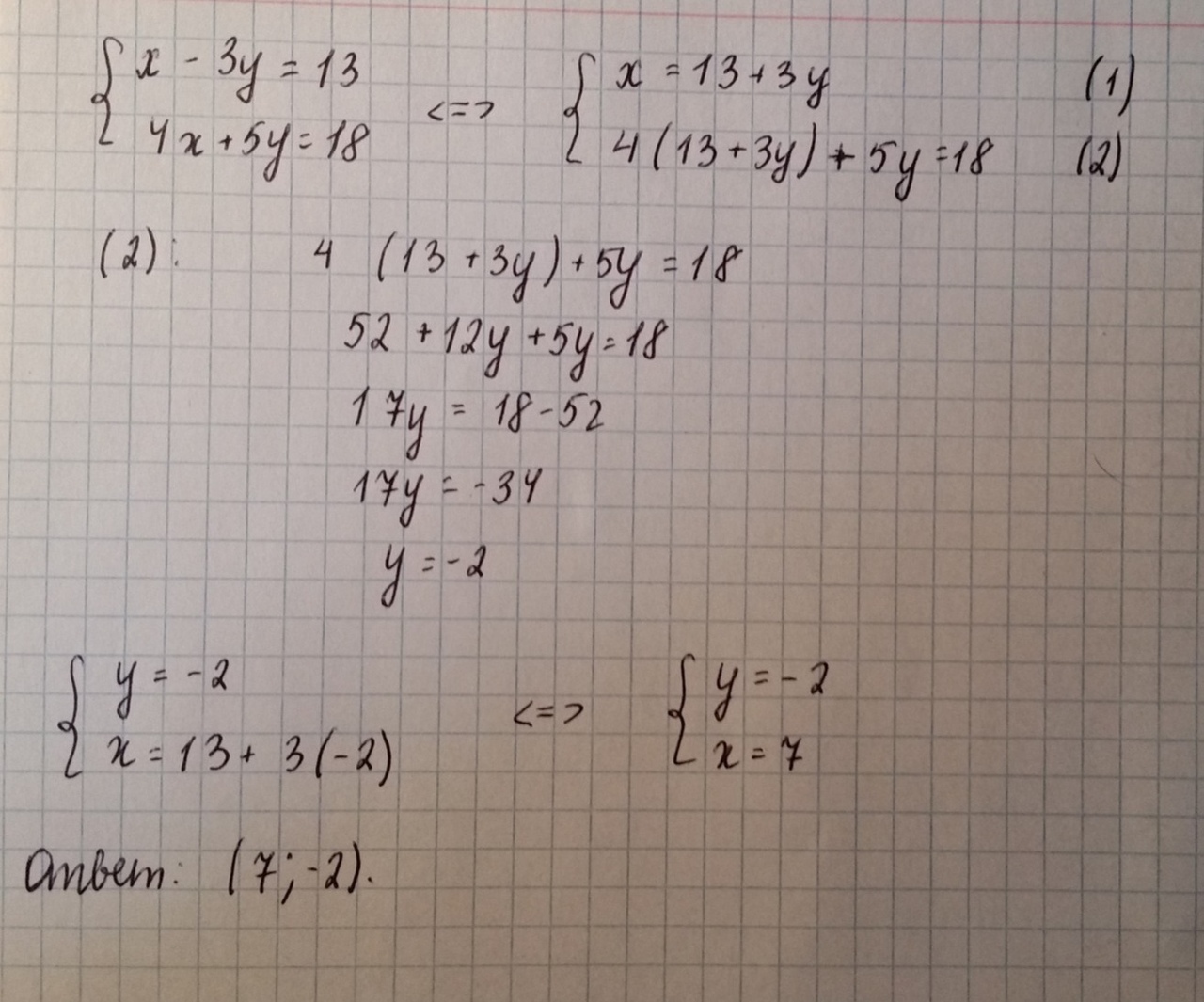
х=13+3у
4х+5у=18
х=13+3у
4(13+3у)+5у=18
х=13+3у
52+12у+5у=18
х=13+3у
17у=-34
х=13+3у
у=-2
х=13+3*(-2)
у=-2
х=7
у=-2
4х+5у=18
х=13+3у
4(13+3у)+5у=18
х=13+3у
52+12у+5у=18
х=13+3у
17у=-34
х=13+3у
у=-2
х=13+3*(-2)
у=-2
х=7
у=-2
Ответ дал:
0
См. прикрепленное изображение.
Приложения:
Вас заинтересует
2 года назад
2 года назад
3 года назад
3 года назад
9 лет назад
10 лет назад