• Предмет: Алгебра
  • Автор: biopb
  • Вопрос задан 8 лет назад

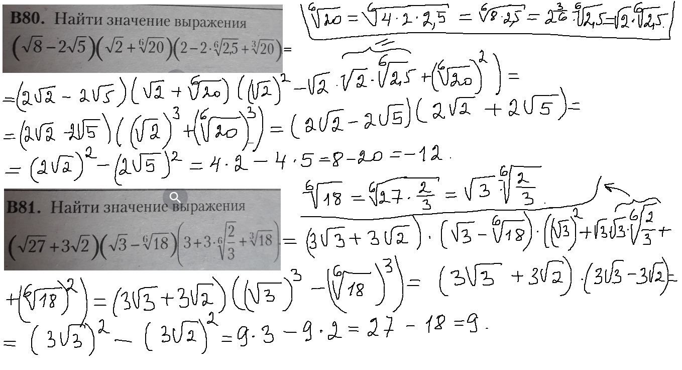
помогитеее пожалуйстпаа

Приложения:

Ответы

Ответ дал: talk111
0

уже решенное задание чуть раньше но могу снова отправить

Приложения:
Вас заинтересует