• Предмет: Математика
  • Автор: Swift311
  • Вопрос задан 8 лет назад

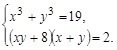
Решить систему
_____________

Приложения:

Ответы

Ответ дал: snow99
0

Решение во вложении.

Приложения:
Ответ дал: IrkaShevko
0

решение на фото внизу

Приложения:
Вас заинтересует