• Предмет: Алгебра
  • Автор: plohish171717
  • Вопрос задан 8 лет назад

Решите пожалуйста!!! Буду очень признателен!

Приложения:

Ответы

Ответ дал: LFP
0

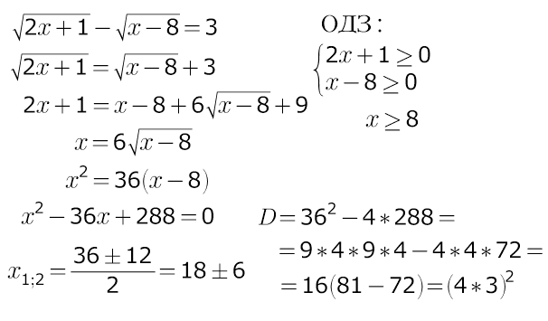
1) удобно уединить один из корней...

уравнение решается возведением обеих частей равенства в квадрат (дважды)...

и лучше (кроме ОДЗ) делать проверку...

х=12: √(24+1) - √(12-8) = 5-2 = 3

х=24: √(48+1) - √(24-8) = 7-4 = 3

2) действия выполнять строго по порядку (сначала деление)...

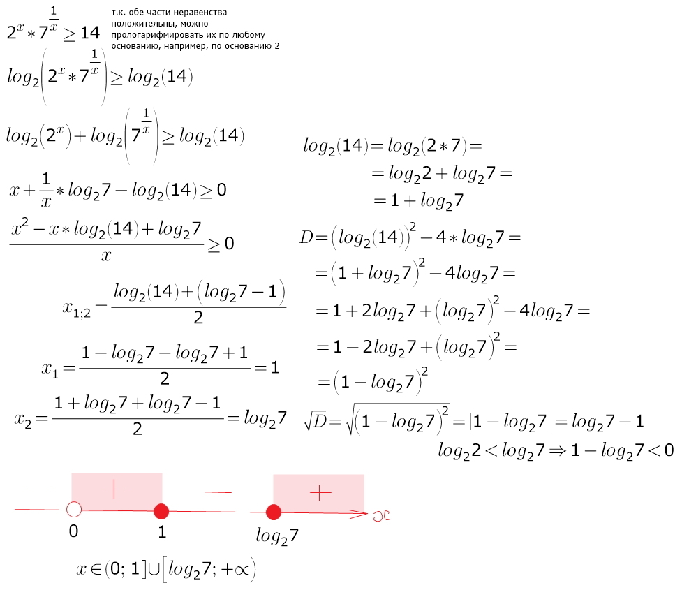
3) метод решения таких неравенств: логарифмирование обеих частей...

неравенство решается методом интервалов))

Приложения:
Вас заинтересует