• Предмет: Математика
  • Автор: patina79
  • Вопрос задан 8 лет назад

Срочно

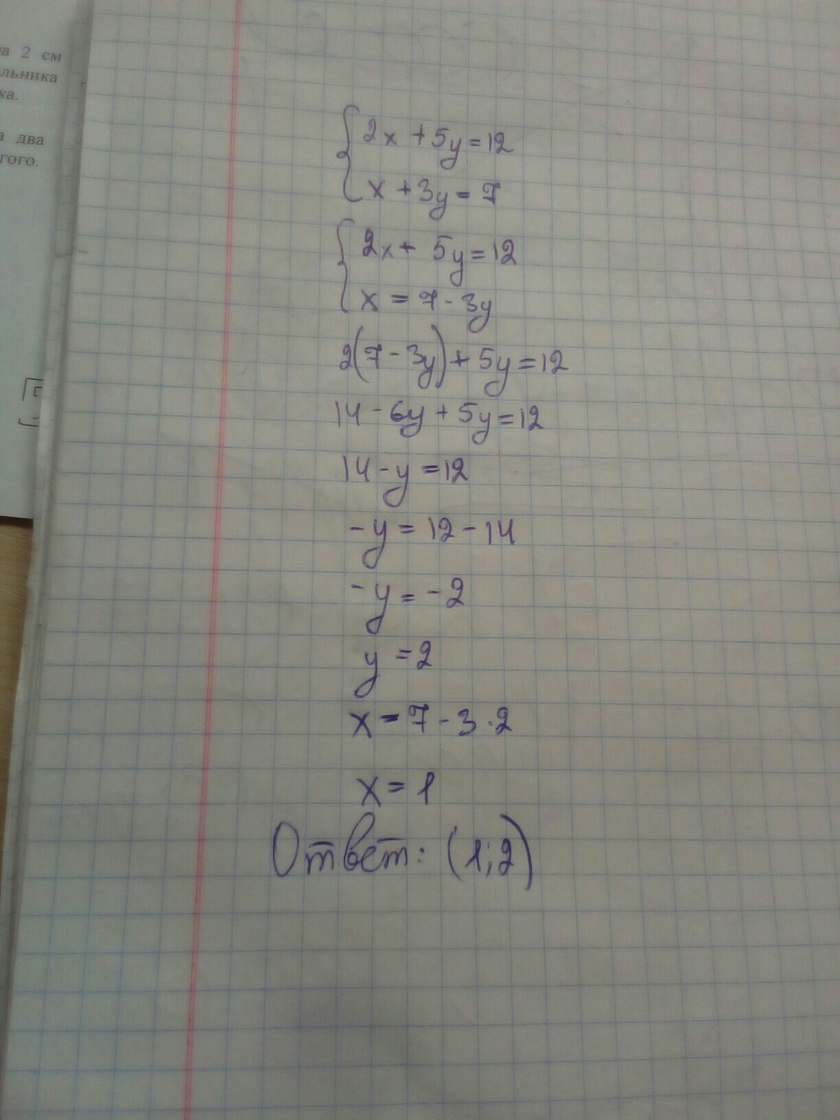
Система уравнения:

{2x+5y=12
{x+3y=7

Ответы

Ответ дал: Оладушка666
0
Ответ смотри на фото
Приложения:
Ответ дал: lizalitvinenko
0
так у меня так же...
Вас заинтересует