• Предмет: Алгебра
  • Автор: 301233
  • Вопрос задан 8 лет назад

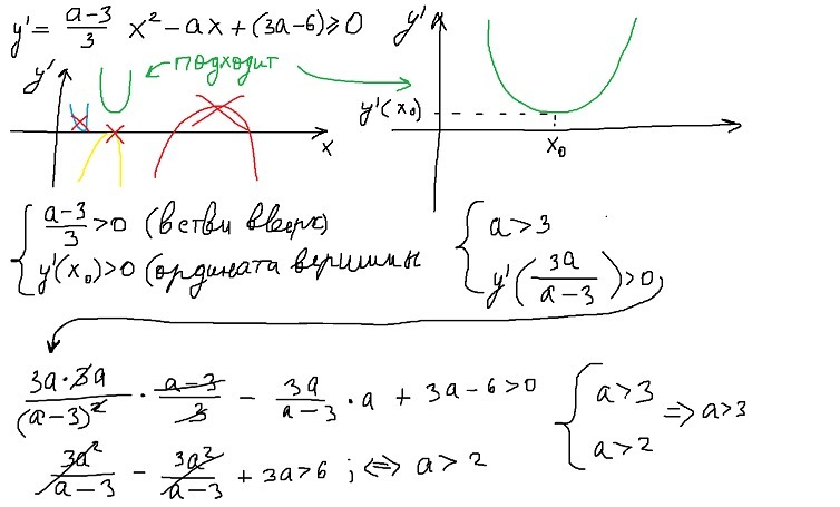
Если функция у=((а-3)/3)*х^3-a*x^2+x(3a-6) не убывает по всей числовой оси,то а принадлежит множеству, в котором наименьшее целое значение числа а равно?

Приложения:

Ответы

Ответ дал: GeniusEnstein
0

Сформулируем задачу понятным языком:

При каких значениях параметра a производная функции y положительна при всех x?

решение снизу, берём в ответ a=4

Приложения:
Ответ дал: 301233
0
ответ должен быть 6 :(
Ответ дал: GeniusEnstein
0
Значит где-то налажал в вычислениях или не все ограничения выписал, сейчас гляну
Ответ дал: 301233
0
Не нашел ошибку?
Ответ дал: GeniusEnstein
0
Ошибки нет, возможно решение неверно, хотя я не представляю как ещё можно решить
Вас заинтересует