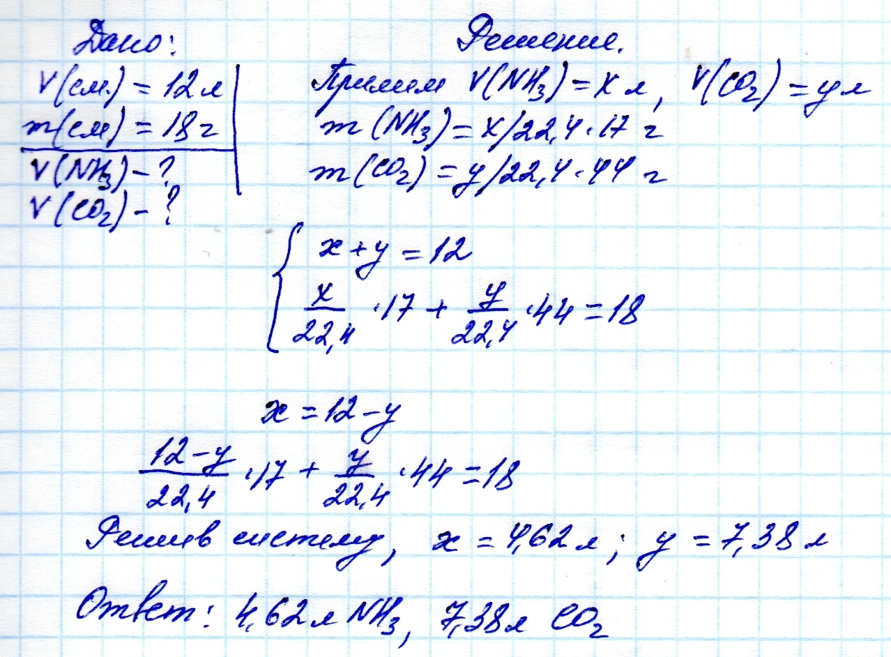
При н.у. 12 л газовой смеси, состоящей из аммиака и углекислого газа, имеют массу 18 г. Какой объем в л каждого газа в смеси?
Ответы
Ответ дал:
0
................................................................................................
Приложения:

Вас заинтересует
2 года назад
2 года назад
3 года назад
3 года назад
9 лет назад
9 лет назад
9 лет назад