• Предмет: Математика
  • Автор: Artemrrr
  • Вопрос задан 8 лет назад

Sin^3x-cos^3x -sinx • cosx =1

Ответы

Ответ дал: Аноним
0

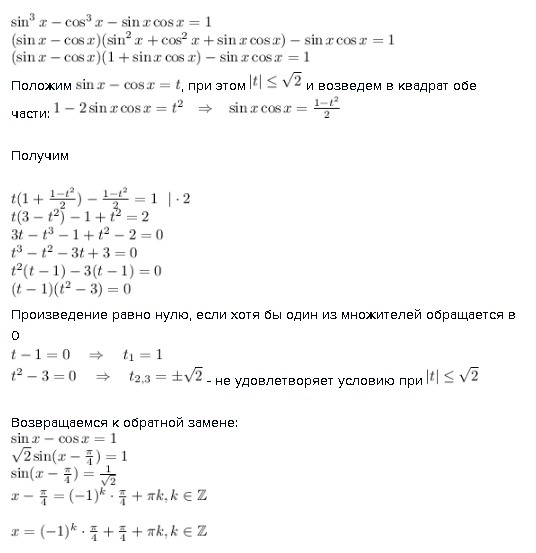
 sin^3x-cos^3x-sin xcos x=1\ (sin x-cos x)(sin^2x+cos^2x+sin xcos x)-sin xcos x=1\ (sin x-cos x)(1+sin xcos x)-sin xcos x=1

Положим  sin x-cos x=t , при этом  |t|leq sqrt{2}  и возведем в квадрат обе части:  1-2sin xcos x=t^2~~Rightarrow~~ sin xcos x=frac{1-t^2}{2}


Получим


 t(1+frac{1-t^2}{2}) -frac{1-t^2}{2}=1~~|cdot 2\ t(3-t^2)-1+t^2=2\ 3t-t^3-1+t^2-2=0\ t^3-t^2-3t+3=0\ t^2(t-1)-3(t-1)=0\ (t-1)(t^2-3)=0

Произведение равно нулю, если хотя бы один из множителей обращается в 0

 t-1=0~~~Rightarrow~~~ t_1=1

 t^2-3=0~~~ Rightarrow~~~ t_{2,3}=pmsqrt{2}  - не удовлетворяет условию при  |t|leq sqrt{2}


Возвращаемся к обратной замене:

 sin x-cos x=1\ sqrt{2} sin(x-frac{pi}{4})=1\ sin(x-frac{pi}{4})=frac{1}{sqrt{2} }  \ x-frac{pi}{4}=(-1)^kcdotfrac{pi}{4}+pi k,k in mathbb{Z}\ \ x=(-1)^kcdot frac{pi}{4}+frac{pi}{4}+pi k,k in mathbb{Z}

Приложения:
Ответ дал: Artemrrr
0
Спасибо
Вас заинтересует