• Предмет: Алгебра
  • Автор: nanakiriya
  • Вопрос задан 8 лет назад

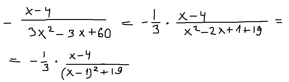
Сократите дробь: (4-x)/(3x^2-3x+60).

Ответы

Ответ дал: GeniusEnstein
0

Данную дробь невозможно сократить. Доказательство ниже, вывел полный квадрат

Приложения:
Вас заинтересует