• Предмет: Алгебра
  • Автор: pavelibrairan1pbr9r7
  • Вопрос задан 8 лет назад

помогите прошу вас, пожалуйста

Приложения:

Ответы

Ответ дал: polina8952
0
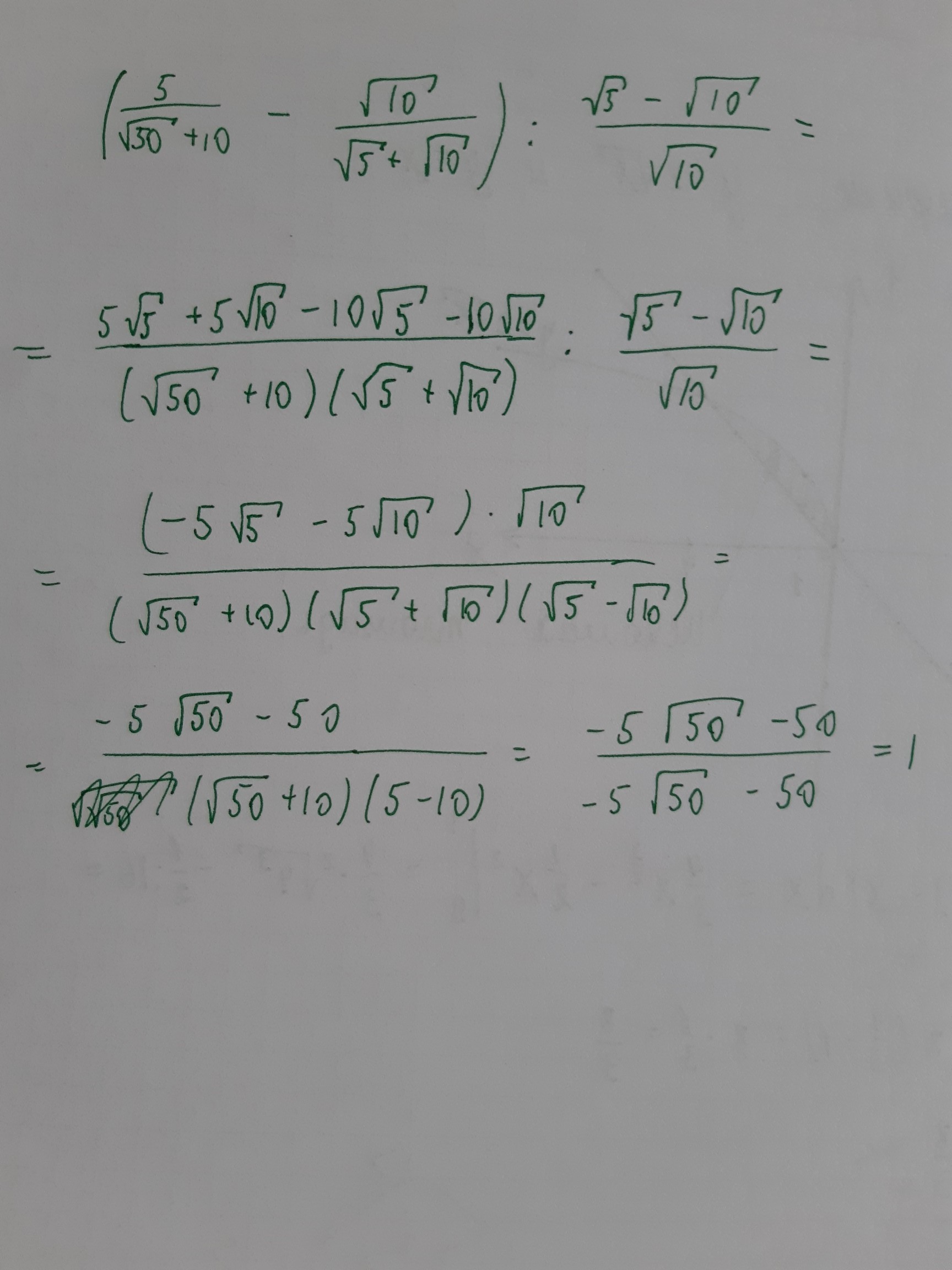
решение представлено на фотографии
Приложения:
Ответ дал: pavelibrairan1pbr9r7
0
огромное спасибо
Ответ дал: pavelibrairan1pbr9r7
0
я отмечу его как лучший
Ответ дал: pavelibrairan1pbr9r7
0
сразу когда можно будет
Вас заинтересует