• Предмет: Алгебра
  • Автор: pavelibrairan1pbr9r7
  • Вопрос задан 8 лет назад

помогите пожалуйстаааа

Приложения:

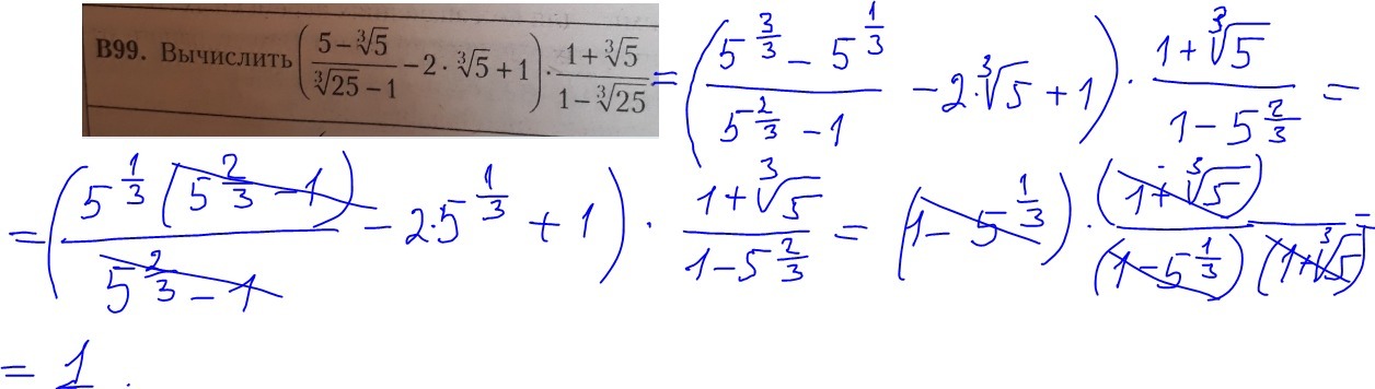
Ответы

Ответ дал: talk111
0

.................... ........................ ....................

Приложения:
Вас заинтересует