• Предмет: Алгебра
  • Автор: Олег222
  • Вопрос задан 8 лет назад

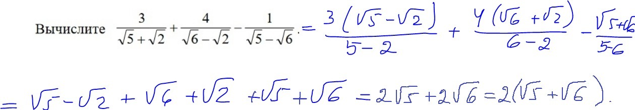
Вычислите  frac{3}{sqrt{5}+sqrt{2}}  + frac{4}{sqrt{6}-sqrt{2}}  - frac{1}{sqrt{5}-sqrt{6}}

Приложения:

Ответы

Ответ дал: GeniusEnstein
0

Смысл задания - домножать на сопряженное выражение:
Например, для √a-√b сопряжённым будет √a+√b
Потому что при умножении по формуле: (√a-√b)(√a+√b)=a-b избавимся от корней
Для 1 дроби это √5-√2
Для 2 дроби это √6+√2
Для 3 дроби это √5+√6
В итоге получается 2(√5+√6)

Ответ дал: talk111
0
после домножения на сопряженные у меня 0 получился
Ответ дал: talk111
0
хотя все верно минус не учел
Ответ дал: GeniusEnstein
0
Молодец, лучше бы конечно ответил автор вопроса
Ответ дал: Олег222
0
Что-то мудрено с этим минусом у третьей дроби, в ответе тоже 0 написано
Ответ дал: talk111
0

.......................... .................... .........................

Приложения:
Ответ дал: Олег222
0
У нас в знаменателе третьей дроби получилось -1, нам не нужно минус за дробь выносить?
Ответ дал: talk111
0
да надо исправить
Ответ дал: talk111
0
-1*(-1)=+1
Ответ дал: talk111
0
исправил
Вас заинтересует