• Предмет: Математика
  • Автор: Аноним
  • Вопрос задан 8 лет назад

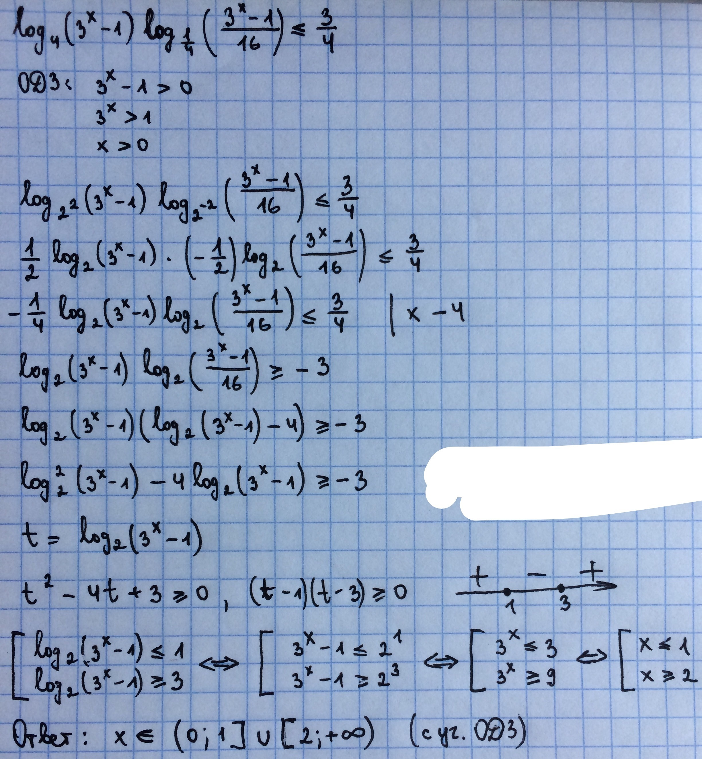
Решите неравенство, 11 класс, формат ЕГЭ. Я просто решил, но ответ не сходиться, написано, что ответ [1;2], а у меня ответ (0;1] U [2; + бесконечности).

Приложения:

Ответы

Ответ дал: Genek55
0
У вас все правильно, так же получилось! Опечатки, они везде есть...
Приложения:
Ответ дал: Аноним
0
Спасибо!
Вас заинтересует