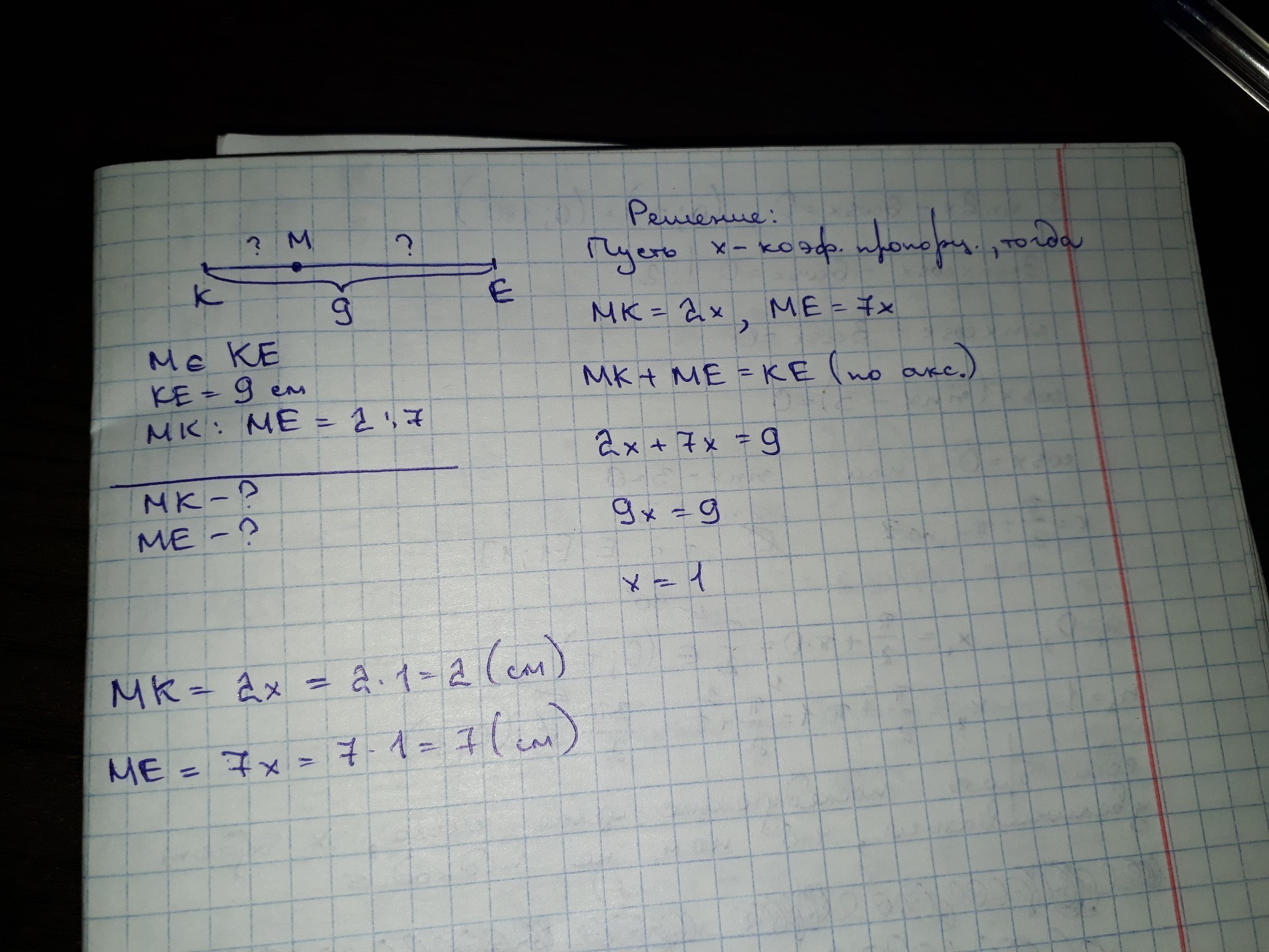
Точка М принадлежит отрезку КЕ длинна которого равна 9см.Определите длины отрезков МК и МЕ если: МК:МЕ = 2:7
Ответы
Ответ дал:
0
если что непонятно, пиши)
Приложения:
Вас заинтересует
2 года назад
2 года назад
3 года назад
3 года назад
9 лет назад
9 лет назад
10 лет назад