• Предмет: Алгебра
  • Автор: bestmusic
  • Вопрос задан 8 лет назад

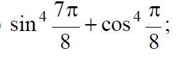
Помогите вычислить.....................................

Приложения:

Ответы

Ответ дал: MeDi0N
0
............ ........
Приложения:
Вас заинтересует