• Предмет: Математика
  • Автор: ilikerussia
  • Вопрос задан 8 лет назад

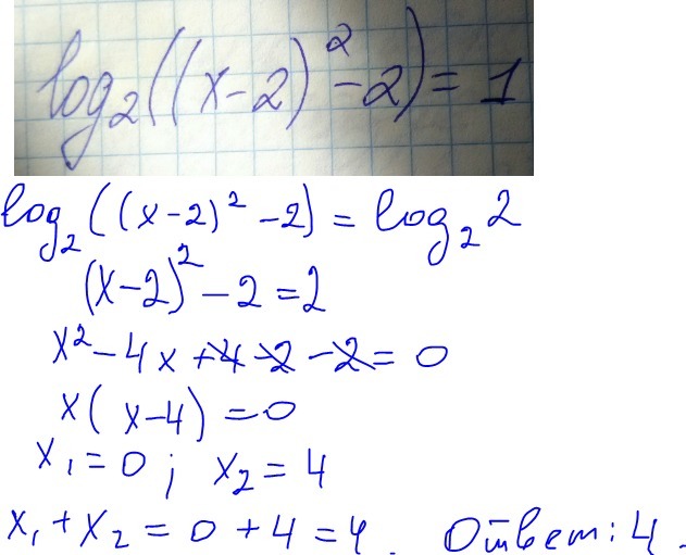
Можно с полнымм решением, пожалуйста: сумма корней уравнения равна?

Приложения:

Ответы

Ответ дал: talk111
0

.......................... ....................... ...................

Приложения:
Ответ дал: IrkaShevko
0

2¹ = (x - 2)² - 2


(x - 2)² = 4

1) (x - 2) = 2

x = 4


2) x - 2 = -2

x = 0


4 + 0 = 4


Ответ: 4

Приложения:
Вас заинтересует