• Предмет: Математика
  • Автор: sodeep
  • Вопрос задан 8 лет назад

Тригонометрия 10-11 класс.
объясните, пожалуйста;
что такое (-1)^n+1,
и откуда оно берется?
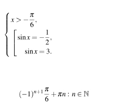
[на картинке]

Приложения:

Ответы

Ответ дал: LuikaBeli
0

По формуле, внизу она написана.

Если sinx= отрицательному числу(-1/2), то будет (-1)^n+1

Если sinx= положительному числу(1/2), то будет (-1)^n



Ответ дал: sodeep
0
а если синус будет -V3/2, V2/2 или -1 формула не изменится?
Ответ дал: LFP
0
arcsin(-a) = -arcsin(a) знак вынесется только, если -V3/2 или -1
Ответ дал: LFP
0

показатели степени сложатся...

Приложения:
Вас заинтересует