Ответы
Ответ дал:
0
Решение примера в 3 действия.
Приложения:
Ответ дал:
0
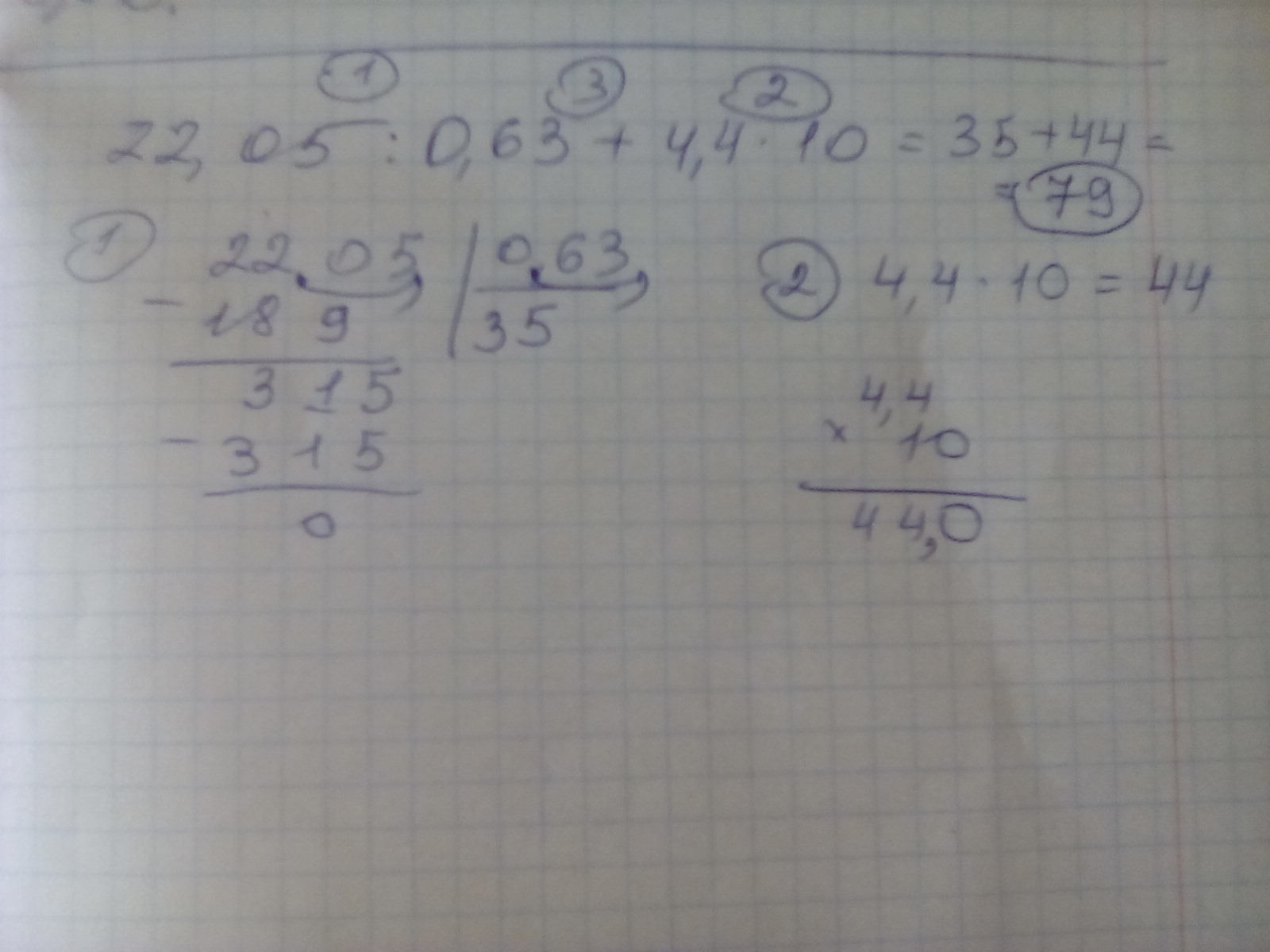
22,05 ÷ 0,63 + 4,4 × 10 = 79.
1) 22,05 ÷ 0,63 = 35;
2) 4,4 × 10 = 44;
( При умножении десятичной дроби на 10, в дроби убирается запятая и остаётся целое число );
3) 35 + 44 = 79.
Ответ: 79.
1) 22,05 ÷ 0,63 = 35;
2) 4,4 × 10 = 44;
( При умножении десятичной дроби на 10, в дроби убирается запятая и остаётся целое число );
3) 35 + 44 = 79.
Ответ: 79.
Приложения:
Вас заинтересует
2 года назад
3 года назад
3 года назад
9 лет назад
9 лет назад
10 лет назад