• Предмет: Математика
  • Автор: lkapt
  • Вопрос задан 8 лет назад

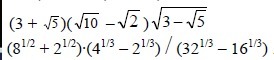
Прошу показать и по возможности объяснить как решаются примеры из приложенных. Заранее благодарю.

Приложения:

Ответы

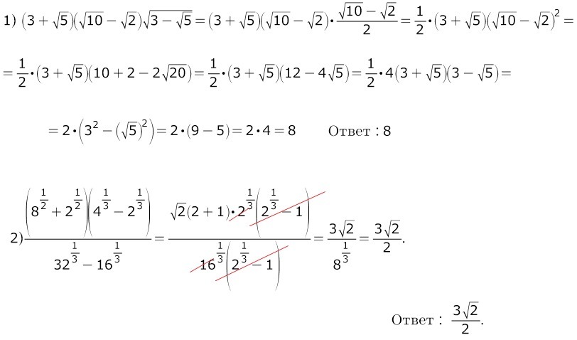
Ответ дал: Аноним
0

Решение смотрите на фотографии.....

Приложения:
Вас заинтересует