• Предмет: Математика
  • Автор: emiliya95
  • Вопрос задан 8 лет назад

16 баллов плиззз
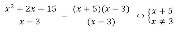
покажите что выражение х^2+2х-15/х-3 и (х+5) эквивалетных. какие условие должно выполняться для этого?

Ответы

Ответ дал: Misha001192
0

 frac{ {x}^{2} + 2x - 15 }{x - 3}  =  frac{(x + 5)(x - 3)}{x - 3}  = x + 5 \

Отсюда следует, что эти два выражения эквивалентны


Должно выполняться условие: х - 3 ≠ 0

х ≠ 3

Ответ дал: vaskovskie91
0

Добрый день! Решение на фото

Приложения:
Вас заинтересует