• Предмет: Математика
  • Автор: меллори
  • Вопрос задан 8 лет назад

помогите решить..... пожалуйста

Приложения:

Ответы

Ответ дал: kartew
0

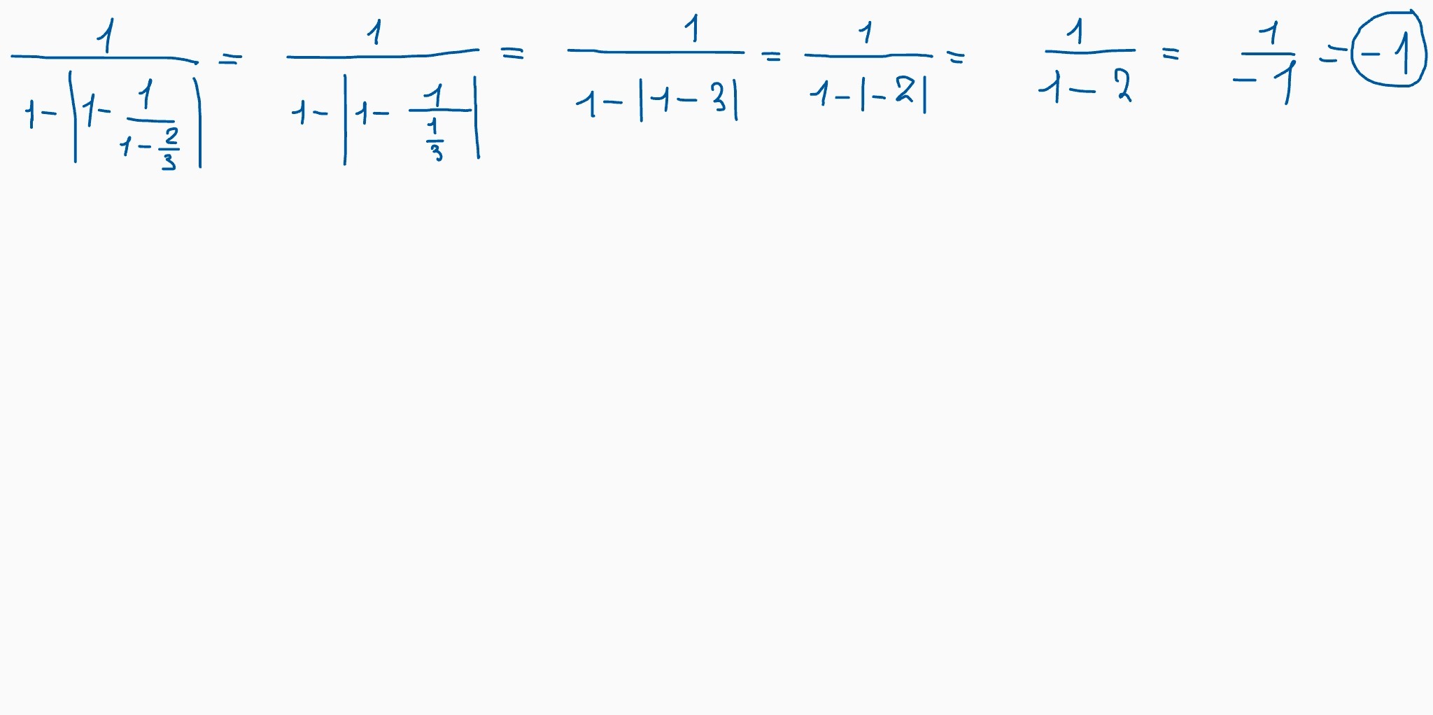
Готово! Ответ на фото:

Приложения:
Вас заинтересует