• Предмет: Математика
  • Автор: straer122122
  • Вопрос задан 8 лет назад

Помогите решить пожалуйста.

Приложения:

Ответы

Ответ дал: hello93
0
ответ под номером 4
(решение на фотографии)
Приложения:
Ответ дал: kartew
0

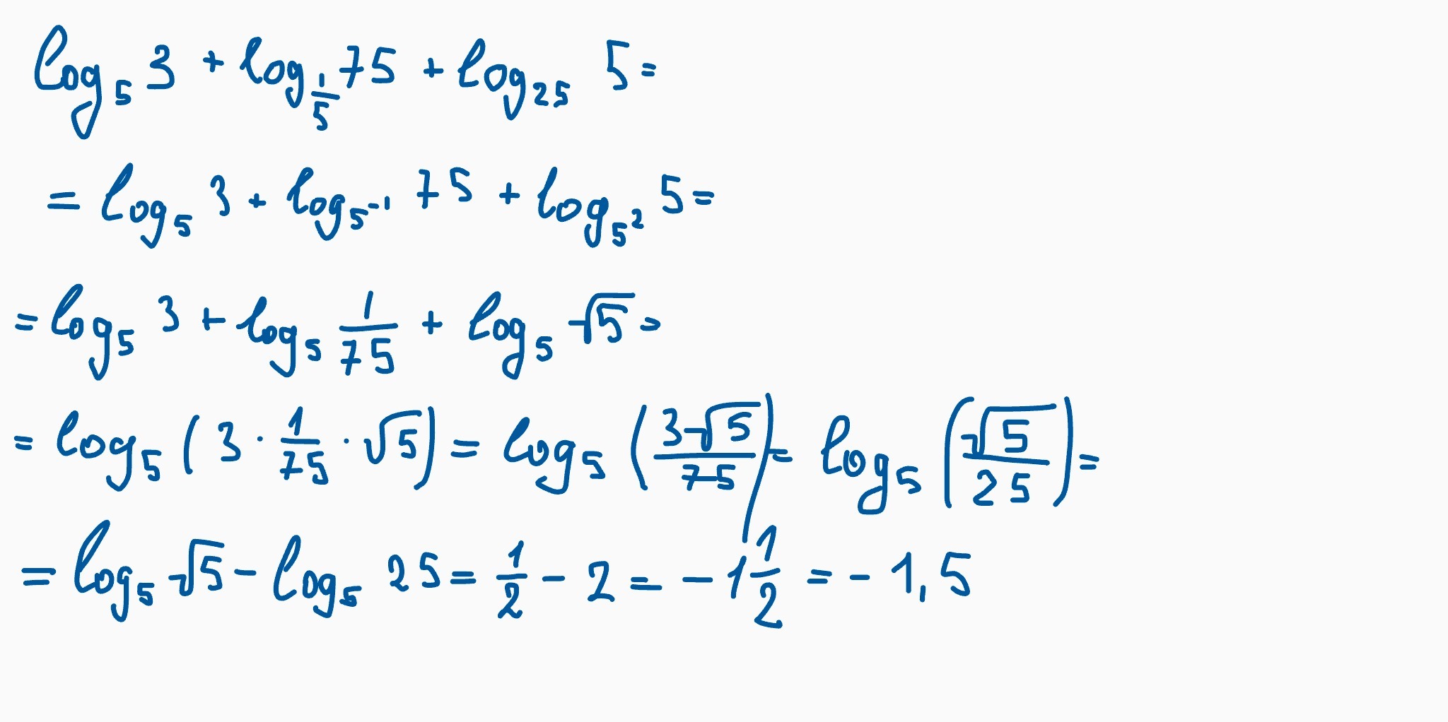
Готово! Ответ на фото:

Приложения:
Вас заинтересует